Rodrigo Seguel, investigador del Centro de Ciencia del Clima y la Resiliencia (CR2), y Charlie Opazo, Departamento de Geofísica de la Universidad de Chile y CR2
- Cambios de ozono en la tropósfera alta impactan fuertemente el balance radiativo de la atmósfera.
- Los eventos de calentamiento súbito de 2002 y 2019 aumentaron el ozono en la tropósfera alta del hemisferio sur en un 24%.
El proyecto SouthTRAC (acrónimo en inglés de Transporte, dinámica y química del hemisferio sur), tuvo por objetivo estudiar los procesos dinámicos y químicos en la región más austral de América del Sur. La investigación fue liderada por un consorcio de prestigiosas universidades y centros de investigación alemanes, contando con la colaboración de investigadores del CR2, miembros del Informe de Evaluación de Ozono Troposférico (TOAR-II) y con el patrocinio del programa FONDEQUIP de ANID.
Para estudios como este, se utilizan aviones que requieren de una alta inversión y tienen una etapa de preparación de cinco años en promedio, en donde se abordan aspectos logísticos relacionados al espacio aéreo, aeropuertos y hangares. Así, en la primavera de 2019 (septiembre-noviembre), el avión instrumentado HALO (acrónimo en inglés de alta altitud y largo alcance), equipado con 13 instrumentos, midió sobre la Patagonia (45°-60° S) propiedades físicas y químicas de la atmósfera, en la interfase de la tropósfera alta y la estratósfera baja aproximadamente entre 9 y 12 km de altitud.
La misión coincidió con un evento de calentamiento súbito en la estratósfera polar antártica, que produjo el rompimiento temprano del aire antártico confinado durante el invierno (vórtice polar). Este fenómeno de calentamiento es considerado inusual en el hemisferio sur, con una frecuencia de un evento por década versus los seis eventos en promedio del hemisferio norte. El resultado de este calentamiento súbito es un menor agotamiento de la capa de ozono.
El estudio también coincidió con intensos incendios forestales en Australia y eventos de incendios en el centro de América del Sur, los cuales produjeron plumas de contaminantes que fueron detectadas por el avión HALO en la estratósfera baja. En este sentido, es importante destacar que el impacto de las emisiones de los incendios forestales australianos en esta zona de la atmósfera puede interpretarse como una retroalimentación iniciada a principios de agosto-septiembre de 2019, derivada del debilitamiento del vórtice polar estratosférico.
La gran cantidad de información recolectada, en un total de 16 vuelos fue analizada también junto a la comunidad científica integrante del Informe de Evaluación de Ozono Troposférico (TOAR-II), y se publicó como parte de la edición especial de TOAR-II en la revista Atmospheric Chemistry and Physics.
Principales resultados
La presente investigación cuantificó la influencia del agotamiento del ozono estratosférico y el calentamiento súbito en la abundancia de ozono en la tropósfera alta y estratósfera baja entre 2002 y 2021. En esta parte de la atmósfera, pequeños cambios de ozono y vapor de agua producen importantes efectos en el forzamiento radiativo de la atmósfera. Así, nuestro análisis utilizó trazadores químicos estratosféricos y troposféricos medidos durante la misión SouthTRAC. Además, fue complementado con mediciones de aviones comerciales (IAGOS) y ozonosondas. La cobertura espacial fue mejorada mediante el reanálisis del Servicio de Monitoreo Atmosférico de Copernicus (CAMSRA).
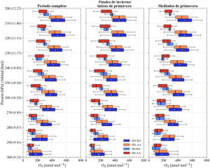
Nuestros resultados muestran (Figura 1) que el ozono de origen estratosférico fue mayor en la tropósfera alta y estratósfera baja del hemisferio norte respecto del hemisferio sur (entre 9-12 km y 45-60° de latitud). Específicamente:
- En años de alto agotamiento de ozono estratosférico, el ozono del hemisferio sur es de solo un 54 % del ozono en el hemisferio norte.
- En años con bajo agotamiento (calentamiento súbito), el ozono del hemisferio sur alcanzó un 57 % de los valores del ozono en el hemisferio norte.
- Los eventos de calentamiento súbito (2002 y 2019) aumentaron el ozono de origen estratosférico en la tropósfera alta y estratósfera baja del hemisferio sur en un 24 % en comparación con los años de alto agotamiento, mientras que, en el hemisferio norte, el aumento fue del 9 % (Figura 2).
Figura 1. Los tres paneles muestran el ozono de origen estratosférico. El eje Y muestra la presión en hectopascales y, entre paréntesis, la altura entre 9.15 y 12.23 kilómetros. En tanto, el eje X muestra la cantidad de ozono presente en esta zona de la atmósfera. El panel de la izquierda representa el periodo completo del estudio, mientras que el del centro es el periodo de finales de invierno e inicios de primavera y el de la derecha mediados de primavera. Todo para el hemisferio norte (HN) y hemisferio sur (HS) para años de alto agotamiento (AA) y bajo agotamiento (BA) de ozono. Las cajas rojas, celestes, anaranjadas y azules representan la mediana y los percentiles 25 y 75. El promedio es señalado mediante diamantes. Las líneas horizontales de cada caja (también llamados “bigotes”) se extienden entre los percentiles 5 y 95.
Así, la misión SouthTRAC representó una contribución invaluable a la investigación de la química atmosférica en el hemisferio sur. Esta campaña aérea proporcionó datos únicos registrados durante un inusual evento de calentamiento súbito de la estratósfera en el hemisferio sur que produjo profundos efectos en la estructura química de la atmósfera, utilizados en esta investigación como proxy de un escenario de disminución del agotamiento de ozono.
Mensaje final
El intercambio bidireccional de gases traza en la tropósfera alta y la estratósfera baja sobre América del Sur está fuertemente influenciado por la quema frecuente de biomasa, el intercambio estratósfera-tropósfera, el vórtice antártico y el transporte a larga distancia de precursores de ozono emitidos desde regiones distantes, como África central y Oceanía. Debido a la naturaleza transfronteriza de estas fuentes, procesos, retroalimentaciones y acoplamientos, los impactos en la tropósfera alta y la estratósfera baja se extienden mucho más allá de la gestión y jurisdicción local o regional. Fortalecer las interfaces entre ciencia y política y fomentar la diplomacia basada en evidencia científica son prioridades para América del Sur y el hemisferio sur.
Figura 2. El panel superior muestra la mediana de ozono en la tropósfera alta y la estratósfera baja del hemisferio norte (HN), dividida en años de alto y bajo agotamiento de ozono estratosférico. El panel inferior representa lo mismo, pero para el hemisferio sur (HS). La paleta de colores representa la mayor o menor cantidad de ozono en cada hemisferio.
Referencias
Seguel, R. J., Opazo, C., Cohen, Y., Cooper, O. R., Gallardo, L., Sinnhuber, B. M., … & Marsing, A. (2025). Hemispheric differences in ozone across the stratosphere–troposphere exchange region. Atmospheric Chemistry and Physics, 25(15), 8553-8573. https://doi.org/10.5194/acp-25-8553-2025

