Pamela Smith, Eugenia Gayó, Estela Blanco, Pablo Sarricolea, Karla Yohannessen, Anahí Urquiza, Marco Billi, investigadores CR2, y Teresita Alcántara, Escuela de Gobierno y Transformación Pública del Tecnológico de Monterrey, México
Edición: José Barraza, divulgador científico CR2
- El clima urbano se caracteriza por la existencia de islas de calor, que implica que las ciudades tengan una temperatura, en general, más alta en relación con su entorno rural.
- En Chile, se ha verificado que en una misma ciudad hay distintas temperaturas. En verano, la temperatura diurna y nocturna es más baja en los barrios con mayores ingresos y es más alta en los barrios de menores ingresos.
- En el país no existe un marco legal que garantice a la población experimentar climas urbanos de alta calidad.
El siglo XXI marca un punto de inflexión tanto por la acelerada expansión urbana como por los cada vez más evidentes impactos que genera el cambio climático en nuestras ciudades. En este cruce, la atención -y preocupaciones- sobre cómo se comporta y manifiestan las condiciones climáticas cambiantes dentro de las ciudades comienza a tomar cada vez más protagonismo.
Latinoamérica es una de las regiones más urbanizadas del planeta, con cerca del 80 % de su población habitando en ciudades. En Chile, este fenómeno es aún más evidente, ya que la población urbana alcanza el 88 % (INE, 2017). Es sabido que el crecimiento urbano modifica las coberturas naturales y seminaturales, siendo reemplazadas por usos y coberturas de suelos artificiales que alteran los balances de energía y, por tanto, generan condiciones climáticas diferentes. Este fenómeno se denomina clima urbano, el cual se define por las modificaciones de las condiciones originales de la temperatura, humedad del aire, contaminación, albedo, entre otras.
Usualmente, el clima urbano se caracteriza por la existencia de islas de calor, las que implican que la ciudad posea una temperatura del aire mayor respecto a su entorno rural, lo cual sin duda tiene efectos, por ejemplo, sobre la salud de la población, el confort térmico o la demanda energética para la climatización[1].
Adicionalmente, bajo los escenarios de cambio climático, se prevé que en el futuro los extremos de temperaturas se intensificarán, aumentando así la frecuencia de olas de calor o el calor nocturno. Estos eventos extremos de temperatura interactúan con las islas de calor, aumentando su intensidad y duración. De acuerdo con las proyecciones futuras (2035-2065) disponibles en la plataforma ARClim, en todas las ciudades aumentaría la ocurrencia de dichos eventos extremos y también la isla de calor urbano (ICU), especialmente en la zona norte y centro del país. Lo anterior es preocupante, ya que la exposición al calor en las personas no solo puede causar agotamiento por calor o insolación, sino que puede producir o exacerbar condiciones de salud (ej. dolor de cabeza, mareos) y agravar las enfermedades crónicas existentes, principalmente, debido a la respuesta cardiovascular frente al calor y la deshidratación.
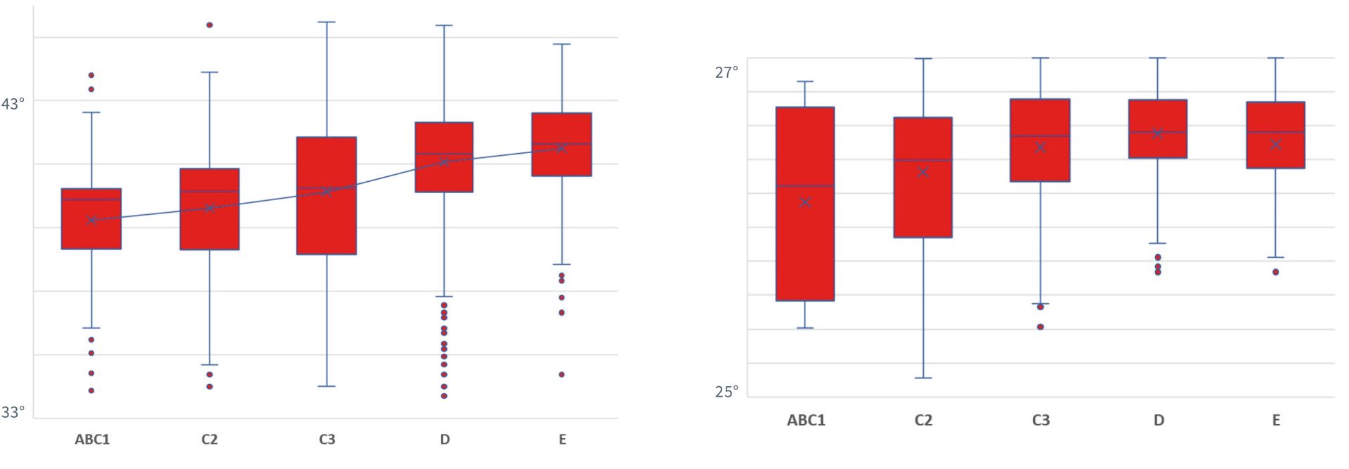
La evidencia científica indica que el comportamiento del clima urbano se relaciona y depende del diseño y la planificación de las ciudades a distintas escalas, como, por ejemplo, el porcentaje de impermeabilización del suelo, el porcentaje de cobertura vegetal, los colores y tipos de materiales de las construcciones o altura de las edificaciones (Smith & Romero, 2016). Debido a que la morfología urbana, las áreas verdes y otros parámetros varían a través de la ciudad, la temperatura también lo hace, con variaciones que se presentan a escala de barrio y manzana. Consecuentemente, se genera una inequidad en cuanto al grado en que distintos grupos de población se ven expuestos a estas amenazas climáticas. Los trabajos realizados por la Línea Ciudades Resilientes del CR2 indican, adicionalmente, que estas inequidades se suman a otras condiciones sociales y económicas de desigualdad propias de cada barrio (Sarricolea et al., 2022). Por ejemplo, se ha verificado que en distintas ciudades medias mayores[2] chilenas la temperatura superficial promedio de verano durante el día y la noche es más baja (menor isla de calor) en los barrios con mayores ingresos económicos (ABC1 y C2). Lo opuesto ocurre en barrios con niveles socioeconómicos más bajos, independiente de la latitud y posición respecto al mar, el tamaño y número de habitantes de la ciudad (figura 1).
Figura 1. Relación entre la temperatura superficial diurna de verano (en °C) y el nivel socioeconómico de cada manzana analizada en las ciudades de Arica (a la izquierda) y Coyhaique (a la derecha). Nota. En el gráfico, los puntos rojos representan valores extremos de la varianza.
Como un ejemplo de las diferencias de temperatura en una ciudad, en la figura 2 se observan las diferencias entre las máximas alcanzadas y el número de episodios de ola de calor entre estaciones meteorológicas oficiales (red SINCA y Meteochile) localizadas en diferentes zonas de una misma ciudad durante un verano extremadamente cálido. Se destacan las diferencias que presentan dos comunas de la ciudad de Santiago, Las Condes e Independencia, con uno y seis episodios de olas de calor, respectivamente, lo que podría explicarse porque representan condiciones ambientales y urbanas muy diferentes. Las Condes, en general, presenta menores densidades de construcción y mayor cantidad de cobertura vegetal, con arbolado y césped, que enfría las superficies y proporciona sombra.
Figura 2. Diferencias espaciales de las olas de calor registradas en la ciudad de Santiago, verano 2015-2016. La columna “T° sobre el umbral” corresponde al número de días en que la temperatura máxima supera el percentil 90, definido por la Dirección Meteorológica de Chile. La columna “T°” representa el máximo alcanzado durante el período de mayor (rojo) a menor (azul). Nota: Cabe señalar que las estaciones de Puente Alto y Parque O’Higgins se encuentran localizadas en áreas vegetadas, por lo tanto, no representan adecuadamente las condiciones urbanas de su entorno.
En cambio, Independencia, una comuna con un nivel socioeconómico más bajo, comparado con Las Condes, se destaca por una mayor densidad de construcción y menor espacio verde. Esto implica que los barrios más pobres de las ciudades están mayormente expuestos a altas temperaturas. Al mismo tiempo, las personas con un nivel socioeconómico más bajo tienen mayores dificultades para disminuir la intensidad de la isla de calor urbana debido a la falta de acceso a recursos tecnológicos (ej. aire acondicionado o viviendas con mejor aislación térmica) o agua potable, lo que les podría permitir mantener condiciones adecuadas de confort térmico tanto en el exterior como en el interior de sus viviendas. De esta forma, la distribución inequitativa de las islas de calor (un problema del diseño urbano) se combina con la distribución inequitativa de los ingresos y la pobreza (un problema de justicia social) y radicaliza la vulnerabilidad de las poblaciones de más escasos recursos. Lo anterior nos obliga a reflexionar más profundamente sobre los problemas de injusticia climática ligados al calor extremo y la planificación urbana.
El concepto de justicia climática ha tenido un creciente interés en los últimos años asociado al cambio climático, visibilizando situaciones recurrentes de inequidad en la distribución de beneficios e impactos (Schlosberg, 2013). A escala global, esto ha llevado a interrogantes como, por ejemplo, si y de qué forma deberían existir compensaciones desde aquellos países y poblaciones que han emitido o emiten más gases de efecto invernadero hacia los que han emitido menos, pero que hoy -o en el futuro- van a sufrir de manera más marcada los impactos del cambio climático, afectando sus modos y calidad de vida (Williges et al., 2022). A pesar de la importancia que tienen la justicia y los efectos del cambio climático en las ciudades, hasta el momento han sido escasamente consideradas en los estudios urbanos (Bulkeley et al., 2013), especialmente en nuestro país.
Planificación urbana y clima
Aunque algunas ciudades chilenas están reguladas por normas y estándares urbanos y ambientales (calidad del aire, ruido, etc.), en general, hasta ahora no ha existido en el país un marco legal que garantice a la población experimentar climas urbanos de alta calidad (Alcoforado et al., 2009). Esta falta de institucionalidad se explicaría, en parte, por restricciones presupuestarias, conflictos de intereses, falta de voluntad política, carencias de datos meteorológicos adecuados y un levantamiento de prioridades y planificación a corto plazo.
Los Planes Reguladores Comunales (PRC) en Chile son instrumentos de planificación territorial que definen, entre otras cosas, los criterios de densidad de ocupación, las alturas máximas de edificación, los coeficientes de constructibilidad y otros parámetros urbanos que pueden afectar el microclima urbano y, a su vez, la confortabilidad de los espacios públicos. No obstante, el comportamiento del clima no se considera como un factor que aporte a la decisión. Si se compara lo declarado en los PRC con las características actuales, se constata el amplio margen que aún tienen muchos sectores en las ciudades chilenas para que aumenten la densidad y la altura, lo que puede significar una disminución del cielo visible o apertura del cielo, lo que provoca efectos sobre la radiación solar directa, y el acceso al sol y la sombra al interior de una calle.
Los documentos e informes elaborados en el país en relación con la adaptación y mitigación al cambio climático han significado la progresiva instalación del factor climático en la toma de decisiones. Por ejemplo, se puede mencionar que una parte importante de las estrategias presentadas en el “Plan de Adaptación para el cambio climático en ciudades” (MMA, 2018) requieren de su implementación a través de los gobiernos locales. Además, a partir de la promulgación de la Ley Marco de Cambio Climático (LMCC; Ley 21.455, de 2022), se generó una obligación para todas las comunas de abordar la crisis climática con una mayor ambición para lograr la resiliencia y carbono neutralidad a más tardar al año 2050 a través de la elaboración de Planes de Acción Comunales de Cambio Climático (artículo 12, LMCC), en los que deberán indicarse medidas adecuadas para hacer frente a los riesgos climáticos que enfrentan las ciudades y sus habitantes, incluidas las ICU y las olas de calor.
Cabe indicar que la LMCC consigna (en su artículo 2°, letra d) a la “Equidad y Justicia Climática” como uno de sus principios rectores fundamentales, indicando al respecto que “es deber del Estado procurar una justa asignación de cargas, costos y beneficios, resguardando la capacidad de las generaciones futuras de satisfacer sus propias necesidades, con enfoque de género y especial énfasis en sectores, territorios, comunidades y ecosistemas vulnerables al cambio climático. La justicia climática busca el trato justo de todas las personas, así como evitar las discriminaciones que pueden conllevar determinadas políticas y decisiones que pretenden abordar el cambio climático”. Lo anterior hace necesario incorporar, tanto en los instrumentos de planificación climática local como en el ordenamiento territorial, a las islas de calor, los eventos climáticos extremos y su correlación con otras formas de desigualdad territorial como dimensiones clave de diagnóstico y de acción, e identificando a los grupos vulnerables para promover la justicia y equidad territorial.
Adicionalmente, los municipios en Chile cuentan con diferentes instrumentos o iniciativas de gestión ambiental y climática, tres de ellas de carácter voluntario: 1. El Sistema de Certificación Ambiental Municipal (SCAM) del Ministerio del Medio Ambiente, cuyo nivel más alto corresponde a la Gobernanza Ambiental – Climática Comunal, 2. el Programa Comuna Energética de la Agencia de Sostenibilidad Energética, y 3. las estrategias hídricas comunales de la Agencia de Sustentabilidad y Cambio Climático (ASCC). Sin embargo, es importante recordar que la elaboración e implementación de los documentos y estrategias anteriores implican movilizar recursos, levantar información e instalar capacidades que dependen de la capacidad institucional de cada comuna. Esto puede significar ir aumentando las brechas existentes, resultando en diferentes niveles de adaptación y resiliencia al cambio climático en sus territorios. En efecto, ya en la actualidad se revelan importantes diferencias en el grado de preparación y acción de los gobiernos locales ante los riesgos asociados con el cambio climático, así como en el grado de actualización e implementación de sus instrumentos de ordenamiento y planificación territorial (con algunos casos, como Rapa Nui, que no han actualizado estos instrumentos desde ya varias décadas).
Reflexiones finales
Las ciudades no son entidades uniformes en cuanto a su clima y calidad ambiental. Las características urbanas y ambientales desiguales, combinadas con las capacidades y recursos dispares de la población, generan una marcada desigualdad climática dentro de los límites urbanos. No todas las personas experimentan el mismo nivel de calidad ambiental y, como consecuencia, las amenazas climáticas a las que se exponen varían considerablemente.
Quienes carecen de acceso a recursos como la climatización de viviendas, por ejemplo, se encuentran en una situación de mayor vulnerabilidad y, por ende, un mayor riesgo frente a condiciones climáticas adversas. Las diferencias en cuanto a recursos y capacidades también se observan a escala comunal. Los gobiernos locales varían en su capacidad para responder y prepararse para los desafíos del clima y el cambio climático, lo que se traduce en niveles desiguales de adaptación y resiliencia.
Recomendaciones
- Impulsar la creación de refugios climáticos en la ciudad. Estos espacios, que podrían ser tanto abiertos (parques, plazas) como cerrados (gimnasios, bibliotecas), brindarían confort térmico y fortalecerían los vínculos entre la comunidad.
- Incorporar mejores materiales, ventilación natural y otras medidas en la planificación y el diseño urbano, puede aumentar significativamente la capacidad de adaptación de la sociedad a las altas temperaturas. Esto también puede generar cobeneficios al mitigar el calor, aumentar el confort térmico y reducir la necesidad de energía, contribuyendo así a la mitigación del cambio climático.
- Implementar estrategias basadas en la naturaleza que incluyan infraestructura verde. Sin embargo, deben ser cuidadosamente evaluadas para evitar impactos negativos, principalmente relacionados con la disponibilidad de agua.
- Desde una perspectiva de salud pública se requieren urgentemente estrategias basadas en evidencia para hacer frente a los riesgos para la salud asociados con la exposición al calor extremo. Estas estrategias deben tener una mirada territorial de largo plazo, en lugar de un enfoque individual de corto plazo, como el uso de aire acondicionado o ventilador, que, si bien puede ser conveniente, no promueve la resiliencia de forma duradera.
- Construir agendas de desarrollo bajas en carbono y resilientes al clima a través del trabajo en red, la reducción de las disparidades regionales, el intercambio de buenas prácticas, la generación de políticas públicas que nazcan desde los territorios, la mejora continua de los procesos y mecanismos de evaluación, la ampliación de los espacios de toma de decisiones vinculantes y la promoción de la democratización del conocimiento técnico-científico.
- Considerando que los efectos de las altas temperaturas pueden convertirse rápidamente en una amenaza para la vida, especialmente para aquellos grupos vulnerables de la población (incluidos adultos mayores, niños, mujeres embarazadas, personas con enfermedades crónicas y aquellos grupos o personas de menor nivel socioeconómico o que están socialmente aislados), resulta urgente que las políticas públicas se enfoquen en una planificación urbana sensible al clima, considerando el diseño de espacios públicos que otorguen -desde la justicia climática- acceso a sombra, protección al viento o sol. Precisamente, es necesario generar medios que permitan a las ciudades adaptarse, mejorando la calidad de vida y asegurando la salud de sus poblaciones.
Referencias bibliográficas
Alcoforado, M., Andrade, H., Lopes, A., & Vasconcelos, J. (2009). Application of climatic guidelines to urban planning: the example of Lisbon (Portugal). Landscape & Urban Planning, 90(1-2), 56 – 65.
Bulkeley, H. (2013). Cities and climate change. Routledge.
Sarricolea, P., Smith, P., Romero-Aravena, H., Serrano- Notivoli, R., Fuentealba, M., & Meseguer-Ruiz, O. (2022). Socioeconomic inequalities and the surface heat island distribution in Santiago, Chile. Science of the Total Environment, 832, 155152.
Schlosberg, D. (2013). Theorising environmental justice: the expanding sphere of a discourse. Environmental politics, 22(1), 37-55.
Smith, P., & Romero, H. (2016). Factores explicativos de la distribución espacial de la temperatura del aire de verano en Santiago de Chile. Revista de Geografía Norte Grande, (63), 45 – 62.
Williges, K., Meyer, L. H., Steininger, K. W., & Kirchengast, G. (2022). Fairness critically conditions the carbon budget allocation across countries. Global Environmental Change, 74, 102481.
Notas
[1] Información sobre isla de calor de superficie en las áreas metropolitanas y ciudades medias mayores chilenas se encuentra disponible en la plataforma de ciudades resilientes elaborada por el Centro de Ciencia del Clima y la Resiliencia CR2, en el siguiente link https://ciudadesresilientes.cr2.cl/isladecalor.
[2] Ciudades entre 100.000 y 299.999 habitantes (Minvu, 2017).

