Por Iván Vergara, investigador Asistente del Instituto Andino Patagónico de Tecnologías Biológicas y Geoambientales (CONICET-UNCo), Argentina; René Garreaud, director del Centro de Ciencia del Clima y la Resiliencia (CR)2 y profesor titular del Departamento de Geofísica, Universidad de Chile; y Álvaro Ayala, investigador del Centro de Estudios Avanzados en Zonas Áridas (CEAZA)
El salto del 2010-2011
El agua que fluye por un río presenta grados muy variables de concentración de sedimento en suspensión a lo largo del tiempo y de su cauce, afectando su calidad y transparencia. Esta concentración puede inferirse con mediciones ópticas de la turbidez del agua, lo que se expresa en unidades nefelométricas de turbidez (UNT). Los ríos del sur de Chile son mayormente cristalinos en contraste con el agua bastante más “chocolate” de los torrentes andinos de Chile central, color generado, en parte, por la alta pendiente y la escasa cubierta vegetacional del terreno, que favorecen la erosión superficial. Dentro de esta zona, el Maipo es uno de los ríos que presenta valores de turbidez más altos (Figura 1), con un promedio de 470 UNT y el consiguiente desafío para la producción de agua potable (que por ley debe tener un promedio no mayor a 2 UNT) con que se abastece gran parte de la población de Santiago. Para manejar esta producción, la empresa sanitaria local (Aguas Andinas) ha realizado mediciones de la turbidez cada hora por los últimos 30 años en el sector de La Obra, cerca de la entrada del río al Valle central, donde se realiza la captación de sus aguas.
Figura 1. Imágenes de Google Earth de la cuenca del río Maipo del (a) 3/1/2014 y (b) 22/2/2016. a) Diferencia de color entre dos lagunas proglaciales de los glaciares Olivares Beta y Olivares Gamma (contorno amarillo, alta carga de sedimento), y dos lagunas al Este con una mayor contribución de derretimiento de nieve (contorno azul, baja carga de sedimento). b) La confluencia entre el río Colorado (subcuenca del norte con abundancia de grandes glaciares blancos) y el río Maipo, apenas unos kilómetros aguas arriba de la estación de turbidez.
Cuando en el río Maipo hay valores por encima de 4.000 UNT la planta potabilizadora de Aguas Andinas interrumpe la toma de agua por exceso de sedimento, comprometiendo el abastecimiento de agua potable para Santiago. Entre los años 1990 y 2010 ocurrían cerca de cinco eventos de turbidez extrema (ETE) por año (la mayoría concentrados en la época estival). Sin embargo, el numero promedio anual de ETE ha aumentado a veintisiete en la última década (Figura 2). Este abrupto cambio también se observa en otros registros del mismo río Maipo y del Aconcagua, contrastando con las tendencias más graduales de temperatura y precipitación en esta zona (Figura 2; Boisier et al. 2018; Falvey & Garreaud 2009). Así, surge la interrogante de cuáles fueron las razones detrás del abrupto aumento en el número de ETE, un tema recientemente abordado por la investigación de Vergara, Garreaud & Ayala (2022), y que se resume a continuación.
Figura 2. Series anuales de (a) número de Eventos de Turbidez Extremos, (b) caudal líquido, (c) temperatura y (d) precipitación de la cuenca del río Maipo.
Controles ambientales del cambio de régimen
Al analizar el origen de los ETE, se observó que el 69 % de los eventos ocurridos entre 1990 y 2020 se asociaron a episodios de fuerte deshielo durante el verano y solo un 22 % a lluvia estival o invernal. A su vez, el número de ETE asociados a deshielo fueron los que tuvieron el mayor salto en el año 2011, y su temporada de ocurrencia se extendió hacia fines del verano. Además, su máxima frecuencia pasó de la segunda quincena de diciembre a la segunda de enero, cuando el aporte de agua glaciar es mayor.
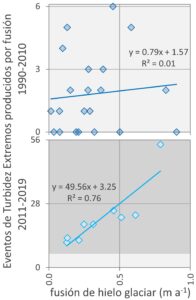
A fin de intentar conocer los procesos geoclimáticos detrás de estos cambios, se procedió a comparar los ETE originados por deshielo con las series glaciológicas, hidrológicas y meteorológicas. Lo primero que resalta de este análisis es que los ETE no se asociaron ni a la lluvia ni a los caudales extremos. Sin embargo, sí tuvieron una correlación positiva con años de mayor derretimiento del hielo glaciar, en donde hay temperaturas por encima de la media y la cubierta de nieve invernal sobre los glaciares es escasa. Como lo ilustra la Figura 3, la dependencia del número de ETE con el deshielo glaciar se hizo más estrecha en la última década.
Figura 3. Gráficos de dispersión entre el número anual de Eventos de Turbidez Extremos provocados por fusión y el derretimiento estival de hielo, para el período anterior (1990-2010) y posterior (2011-2019).
La Figura 4 ilustra la variación del volumen de los glaciares de la cuenca del río Maipo durante las últimas décadas, donde se aprecian varios rasgos relevantes. Hay una tendencia multidecadal de pérdida del volumen glaciar, incluyendo una secuencia ininterrumpida de años con balance de masa negativo que comenzó cinco años antes del salto de los ETE. El año 2011 el balance de masa fue negativo, pero no extraordinario, y desde este año en adelante no volvió a ocurrir un año de balance de masa positivo. Esto sugiere que el salto de los ETE se debió a una configuración hidroglaciológica de lenta evolución que alcanzó un nuevo estado en el año 2011, a raíz de un deshielo anómalo.
Durante las últimas décadas el aumento de la temperatura y las bajas precipitaciones han reducido la cobertura de nieve sobre los glaciares, por lo que el hielo glaciar ha estado expuesto por más tiempo a la atmósfera, la que, a su vez, es cada vez más cálida (Malmros et al. 2018). En base a estas observaciones, se hipotetiza que esta mayor exposición glaciar a la atmosfera provocó un incremento de la circulación de agua líquida y sus morfologías asociadas (molinos glaciares, canales supraglaciales y subglaciales), lo que eventualmente conectó piscinas de sedimento subglacial que antes no estaban disponibles (Figura 5). Si bien un reciente modelo físico de índole teórico sugirió que una pérdida sostenida de volumen glaciar podría conllevar un aumento dramático del caudal sólido fluvial de los glaciares “alpinos” o de “montaña” (Delaney & Adhikari 2020), esta sería la primera vez donde se constata con datos dicha teoría. Hipótesis alternativas fueron evaluadas por Vergara, Garreaud & Ayala (2022), pero descartadas al contrastarlas con las observaciones.
Figura 4. Series anuales de (a) número de Eventos de Turbidez Extremos provocados por fusión, (b) fusión estival de hielo, (c) balance de masa glaciar regional, y (d) isoterma de 0 °C estival media. Los datos glaciológicos fueron extraídos de Ayala et al. (2020).
La turbidez del Maipo de cara al futuro
Considerando que hasta ahora las mediciones de turbidez indican que no hay un agotamiento del sedimento que entró al sistema hidrológico en el 2011, y que el modelo teórico arriba mencionado sugiere que el aumento del caudal sólido puede durar al menos un siglo (Delaney & Adhikari 2020), es fundamental proyectar el alcance futuro de este cambio de régimen. Una primera tarea es analizar otros registros ambientales que nos permitan conocer cómo fue el caudal sólido fluvial antes de 1990. Esto nos permitiría comprender mejor en qué parte de la historia hidroglaciológica se encuentra la cuenca del río Maipo. También es relevante cuantificar el sedimento que yace debajo de los glaciares a través de mediciones de georradar. Luego, volcando estos datos en modelos físicos se podría estimar cuantitativamente la turbidez durante las próximas décadas y así tomar las medidas necesarias. Otro tema de gran interés es conocer la respuesta de los glaciares en su estado actual (alta conectividad hidráulica) ante los eventos de precipitación estival (con una isoterma 0 °C muy elevada), que, aunque no muestran una tendencia clara, siguen ocurriendo con cierta frecuencia en la parte alta de la cordillera.
Entonces, además de la constatación del marcado salto en el número de eventos de extrema turbidez (agua como chocolate) en el río Maipo y la hipótesis de este cambio, el trabajo de Vergara, Garreaud & Ayala (2022) abre nuevas interrogantes, siendo las más destacadas: ¿Hay una relación entre el cambio de la conectividad subglaciar y la erosión provocada por las lluvias? ¿Cómo fue la turbidez del río Maipo previo a 1990? ¿Qué sucederá con el cambio de régimen de la turbidez para lo que resta de este siglo? ¿Cuál es la extensión espacial de este cambio? Esperamos abordar esta y otras interrogantes en trabajos futuros.
Figura 5. Modelo conceptual del efecto de los cambios glaciares sobre la disponibilidad y conectividad hidrológica del sedimento subglaciar. (a) Situación en 1990-2010 y (b) 2011-2019.
Referencias
Ayala, Á., Farías-Barahona, D., Huss, M., Pellicciotti, F., McPhee, J., & Farinotti, D. (2020). Glacier runoff variations since 1955 in the Maipo River basin, semiarid Andes of central Chile. The Cryosphere, 1–39. https://doi.org/10.5194/tc-14-2005-2020
Boisier, J. P., Alvarez-Garreton, C., Cordero, R. R., Damiani, A., Gallardo, L., Garreaud, R. D., et al. (2018). Anthropogenic drying in central-southern Chile evidenced by long-term observations and climate model simulations. Elementa, 6, 74. https://doi.org/10.1525/elementa.328
Delaney, I., & Adhikari, S. (2020). Increased subglacial sediment discharge in a warming climate: Consideration of ice dynamics, glacial erosion, and fluvial sediment transport. Geophysical Research Letters, 47(7), 1–11. https://doi.org/10.1029/2019GL085672
Falvey, M., & Garreaud, R. D. (2009). Regional cooling in a warming world: Recent temperature trends in the southeast Pacific and along the west coast of subtropical South America (1979–2006). Journal of Geophysical Research, 114(4), 1–16. https://doi.org/10.1029/2008JD010519
Malmros, J. K., Mernild, S. H., Wilson, R., Tagesson, T., & Fensholt, R. (2018). Snow cover and snow albedo changes in the central Andes of Chile and Argentina from daily MODIS observations (2000–2016). Remote Sensing of Environment, 209, 240–252. https://doi.org/10.1016/j.rse.2018.02.072
Vergara, I., M. Moreiras, S., Araneo, D., & Garreaud, R. (2020), Geo-climatic hazards in the eastern subtropical Andes: Distribution, climate drivers and trends. Natural Hazards and Earth System Sciences, 20(5), 1353–1367. https://doi.org/10.5194/nhess-20-1353-2020
Vergara I, Garreaud R, Ayala Á. Sharp Increase of Extreme Turbidity Events Due to Deglaciation in the Subtropical Andes. Journal of Geophysical Research: Earth Surface. 2022;127(6):1-15. https://doi.org/10.1029/2021JF006584



