INFORME A LAS NACIONES
Seguridad hídrica en Chile:
Caracterización y perspectivas de futuro
Seguridad hídrica en Chile:
La seguridad hídrica se define como la posibilidad de acceder al agua en cantidad y calidad adecuadas para el sustento humano, la salud y el desarrollo socioeconómico, considerando las particularidades ecosistémicas de cada cuenca y promoviendo la resiliencia frente a amenazas como la sequía, crecidas y la contaminación.
Alcanzar la seguridad hídrica es un desafío complejo que requiere entender el sistema climático, su manifestación regional, su relación con las actividades humanas y contar con una gobernanza adecuada que se ciña al principio precautorio.
Este informe reúne y sintetiza evidencia científica relevante para respaldar la toma de decisiones en esta materia, abordando la actual disponibilidad de agua en el país, sus proyecciones para finales del siglo XXI en un contexto de cambio climático, y las consideraciones legales y de gobernanza.
El lanzamiento de este documento se llevó a cabo el 23 de noviembre de 2023 en el salón Gorbea de la Facultad de Ciencias Físicas y Matemáticas de la Universidad de Chile.
La presente publicación debe citarse como:
Alvarez-Garreton, C., Boisier, J.P., Blanco, G., Billi, M., Nicolas-Artero, C., Maillet, A., Aldunce, P., Urrutia-Jalabert, R., Zambrano-Bigiarini, M., Guevara, G., Galleguillos, M., Muñoz, A., Christie, D., Marinao, R., & Garreaud, R. (2023). Seguridad Hídrica en Chile: Caracterización y Perspectivas de Futuro. Centro de Ciencia del Clima y la Resiliencia CR2 (ANID/FONDAP/1522A0001), 72 pp. Disponible en www.cr2.cl/seguridadhidrica
Revisa el video del lanzamiento del informe en el Salón Gorbea de la FCFM, Universidad de Chile
INFORME:
Seguridad hídrica en Chile: Caracterización y perspectivas de futuro
El contenido y las figuras en alta resolución están disponibles para su utilización citando este informe.
Introducción
La seguridad hídrica (SH) se define en la Ley Marco de Cambio Climático como la “posibilidad de acceso al agua en cantidad y calidad adecuadas, considerando las particularidades naturales de cada cuenca, para su sustento y aprovechamiento en el tiempo para consumo humano, la salud, subsistencia, desarrollo socioeconómico, conservación y preservación de los ecosistemas, promoviendo la resiliencia frente a amenazas asociadas a sequías y crecidas y la prevención de la contaminación”.
Alcanzar la SH es un desafío complejo que requiere entender el sistema climático, su manifestación regional y su relación con las actividades humanas. Asimismo, se debe contar con una gobernanza adecuada que permita establecer metas de SH e implementar acciones para cumplirlas, siguiendo el principio precautorio(g). Esto implica tomar medidas preventivas para reducir los impactos del cambio climático(g) en la SH, aún cuando exista incertidumbre en las proyecciones de disponibilidad hídrica.
Este informe reúne y sintetiza evidencia científica relevante para respaldar la toma de decisiones en materia de SH. En una primera parte se presenta información que permite caracterizar y entender la SH en Chile. En particular, se describen la disponibilidad y usos de agua en el país (Capítulos 1 y 2), considerando la evolución de estas variables desde mediados del siglo XX al presente, así como su proyección hacia fines del siglo XXI. En base a esta evidencia, en el Capítulo 3 se evalúan los niveles históricos y futuros de SH en Chile, así como las causas de cambio en estos niveles. En el Capítulo 4 se analiza el caso de las cuencas de la zona central de Chile con alta demanda hídrica para consumo humano y la agricultura, donde la brecha entre uso y disponibilidad es más estrecha. Se discute específicamente cómo la reducción de esta brecha ha derivado en un uso no sostenible de aguas subterráneas.
Considerando la priorización del acceso al agua para consumo humano establecida en el Código de Aguas y la Ley Marco de Cambio Climático, en el Capítulo 5 se evalúan las condiciones en zonas rurales, donde una fracción importante de la población carece de un servicio de agua potable proporcionado por una empresa sanitaria. En esos casos, el suministro depende de organizaciones comunitarias o de la gestión directa de los hogares, que enfrentan las dificultades de acceso al agua a través de múltiples estrategias.
A la luz de la evidencia y los desafíos que se derivan de la evaluación de la SH, la segunda parte de este informe identifica oportunidades para fortalecer la gobernanza existente en Chile orientada a avanzar hacia la SH en un contexto de cambio climático. Para ello se analizan las principales leyes e instrumentos enfocados en la gestión de los recursos hídricos en el país, desde un foco nacional y centralizado hasta uno más local.
El Capítulo 6 ofrece un panorama general de la gobernanza actual en materia de SH. Luego, se analiza el Código de Aguas en función del sistema de asignación de derechos de aprovechamiento de aguas(g) y resguardo de caudales ecológicos (Capítulo 7), y de la aplicación de medidas para afrontar los impactos de la sequía (Capítulo 8), revelando sus efectos no previstos en SH. El Capítulo 9 pone el foco en la gestión del agua potable en el ámbito rural, con énfasis en la reciente reforma legislativa en este campo. En la misma línea, en el Capítulo 10 se describen acciones transformativas comunitarias que emergen como respuesta frente a los problemas de acceso al agua en zonas rurales. En el Capítulo 11 se examinan los Planes Estratégicos de Recursos Hídricos en Cuenca (PERHC), un instrumento incipiente que, mediante una gestión más integrada del agua, representa una oportunidad para alcanzar metas de SH.
Finalmente, se entregan recomendaciones específicas para avanzar hacia la SH, considerando la realidad territorial en términos de uso, disponibilidad y gobernanza del agua.
El informe cuenta con un Glosario que describe los términos destacados en color azul y con un superíndice(g) y con una sección de Notas Metodológicas de los análisis descritos en varios capítulos. Gran parte de la información descrita en este informe se puede explorar en la plataforma de seguridad hídrica del Centro de Ciencia del Clima y la Resiliencia, disponible en https://seguridadhidrica.cr2.cl
Parte 1: Caracterización y evaluación de la seguridad hídrica en Chile

Mediante una síntesis de información original y de fuentes independientes, la Figura I permite orientarnos respecto del balance hidrológico y los usos antrópicos de agua estimados en Chile, discutidos en detalle en la primera parte de este informe. Como cantidades agregadas sobre todo el territorio, en el esquema se describen grandes flujos (expresados en km3/año) y volúmenes de agua (km3). Para dimensionar estas escalas, considere que 1 km3 corresponde a un volumen de agua algo mayor a la capacidad del embalse Rapel, en la región de O’Higgins (0.7 km3).
En la interacción entre la superficie y la atmósfera se reconocen dos flujos principales de agua con direcciones opuestas: la precipitación, manifestada como nieve y lluvia, y la evapotranspiración natural, que incluye la evaporación desde el suelo, cuerpos de agua y otras superficies, así como la transpiración de la vegetación. El remanente entre estos flujos determina la disponibilidad de agua fresca superficial, descrita en el Capítulo 1. Los demás flujos y almacenamientos de agua en el sistema hidrológico dependen de esta disponibilidad, que se expresa principalmente como escorrentía superficial de agua, alimentando ríos, lagos y ecosistemas costeros. La disponibilidad también se refleja en la acumulación de nieve que sostiene glaciares, y en la infiltración que permite recargar acuíferos subterráneos. Además de las reservas subterráneas, Chile se caracteriza por albergar grandes depósitos naturales de agua en lagos y glaciares, principalmente en los campos de hielo Patagónicos.
El balance entre los flujos de agua y las variaciones en los almacenamientos se modifica por las actividades humanas. En Chile, estas perturbaciones son pequeñas a escala nacional, pero muy relevantes a nivel de cuencas, como se discute en varios capítulos de este informe. Las perturbaciones antrópicas están principalmente vinculadas a la modificación agrícola y forestal de la superficie, cuyo efecto en el balance hídrico se manifiesta como cambios en la evapotranspiración.
Capítulo 1: Disponibilidad de agua y cambio climático en Chile
El agua disponible es fundamental para comprender la seguridad hídrica, ya que determina el volumen de agua que mantiene los ecosistemas, recarga los acuíferos y permite satisfacer los potenciales usos humanos de un territorio. Debido al cambio climático, la disponibilidad hídrica se está reduciendo en la zona central de Chile, una tendencia que continuará en las próximas décadas.
La disponibilidad hídrica natural depende de las condiciones climáticas y geográficas de una región. En superficie, esta variable se puede considerar como la diferencia entre la precipitación total y la evapotranspiración natural. En Chile continental, las tasas anuales promedio de precipitación y de evapotranspiración natural se estiman en 1200 y 430 mm, respectivamente, lo que equivale a una disponibilidad superficial de aproximadamente 770 mm por año (ver nota metodológica 1.1).
¿Esta disponibilidad hídrica es poca o es mucha? Comparativamente, el promedio de Chile supera la media global en zonas continentales, cercana a 300 mm por año (Oki y Kanae, 2006). Sumado sobre el conjunto del territorio, la disponibilidad media del país equivale a 680 km3/año, flujo de agua que permitiría llenar aproximadamente 1000 embalses del tamaño de Rapel en un año.
Si bien la disponibilidad hídrica a escala nacional es comparativamente alta, las realidades son muy dispares entre las regiones del país. En las zonas hiperáridas de Atacama prácticamente no precipita, mientras que en los Andes australes se pueden acumular más de tres metros de precipitaciones en un año (Figura 1.1).

El balance resultante entre precipitación y evapotranspiración define un marcado gradiente norte-sur de disponibilidad hídrica. Específicamente, las regiones de Los Lagos, Aysén y Magallanes reúnen en conjunto más del 75 % del volumen total de agua disponible, mientras que las regiones de Valparaíso al norte suman menos de un 1 % del total, dando cuenta de desafíos muy diferentes en términos de SH. La menor disponibilidad hídrica superficial y la alta demanda de agua en el centro y norte del país, resulta en una explotación de acuíferos en muchos casos no sostenible, y mantiene a varias cuencas en condiciones críticas de estrés hídrico (ver Capítulos 2, 3 y 4). Junto con las variaciones entre regiones, la disponibilidad hídrica exhibe cambios notables a lo largo del tiempo, en los cuales se pueden reconocer un ciclo estacional, una variabilidad interanual y cambios de largo plazo.

La disposición geográfica y el ciclo estacional del clima determinan el régimen hidrológico de una cuenca. Así, la escorrentía de agua superficial y subsuperficial que alimenta el caudal de un río depende de la magnitud y distribución de la precipitación y evapotranspiración durante el año. En zonas como el Altiplano andino, todos los flujos se maximizan durante el verano (ej. río Lluta, Figura 1.2), mientras que, en el sur, la precipitación y evapotranspiración se concentran en distintas estaciones del año (ej., río Toltén).
También, en climas fríos o de alta montaña, la acumulación de nieve en invierno y posterior derretimiento modulan la disponibilidad hídrica superficial, desfasando el momento de máxima escorrentía hacia los meses de primavera y verano, como se observa en la cuencas nivales de los Andes centrales (ej. río Maipo en El Manzano).
Superpuesto al ciclo estacional, se observan cambios importantes de un año a otro en la precipitación y disponibilidad hídrica. Debido a la influencia del océano Pacífico en el clima de Chile, esta variabilidad interanual se vincula con fenómenos naturales de gran escala, como la Oscilación del Niño y de la Niña(g) (Aceituno et al., 2021). Las regiones del centro y norte del país, al contar con pocos eventos de precipitación durante el año, tienen mayor probabilidad de experimentar años extremadamente secos y están, por lo tanto, más expuestas a problemas de disponibilidad hídrica por variabilidad climática natural. Por ejemplo, en la parte alta de la cuenca del río Maipo es común tener inviernos ya sea con déficit o superávit de precipitación por sobre un 50 % respecto de la media (ver rangos en la Figura 1.2).
Megasequía y cambio climático
Las tasas de precipitación en la zona central de Chile han estado reiteradamente bajo la media desde 2010 hasta la fecha. Este periodo, que denominamos megasequía(g), se superpone a –y acentúa– una tendencia de varias décadas hacia un clima más seco observada desde la región de Coquimbo hasta la región de Aysén (Figura 1.3 y 1.4).
Los estudios sobre la megasequía y tendencias climáticas de largo plazo señalan que los cambios de precipitación en Chile se deben a una combinación de factores, de variabilidad climática natural y cambio climático antrópico. La señal de cambio climático es más preponderante en tendencias sobre períodos más largos de tiempo (Boisier et al., 2016, 2018; Garreaud et al., 2017, 2019). Estas conclusiones se basan en el contraste de observaciones y simulaciones con modelos climáticos globales(g). Como respuesta a las forzantes antrópicas de clima(g), en particular a los cambios en las concentraciones de gases de efecto invernadero(g) (GEI) y ozono estratosférico(g), los modelos simulan de forma sistemática una disminución en la precipitación sobre el Pacífico Sur (IPCC, 2021), afectando precisamente las regiones del país donde se observan tendencias hacia un clima más seco (Figuras 1.3 y 1.4).
La combinación de simulaciones climáticas globales, regionalizadas para representar adecuadamente el clima de Chile, y de modelos hidrológicos, permite evaluar los efectos del cambio climático en la disponibilidad hídrica a escala de cuencas (ver nota metodológica 1.2).
La proyección de cambio para un periodo futuro particular es muy variable (Figura 1.4) y depende de tres fuentes de incertidumbre: (1) la superposición de la señal de cambio climático con fases de variabilidad natural que pueden perdurar décadas, (2) la intensidad de la señal regional de cambio climático, con diferencias entre distintos modelos climáticos y (3) el escenario socioeconómico global que se considere. Tomando en cuenta estos factores, en un caso optimista, se puede esperar una disminución de precipitación menor al 10 % en la zona central de Chile hacia fines del siglo XXI. Esta proyección se obtiene con un escenario global con alta mitigación en las emisiones de GEI (SSP1-RCP2.6, O’Neill et al., 2016) y con modelos de baja sensibilidad climática regional. En un caso pesimista, el déficit puede superar un 30 %, es decir, una condición similar a la megasequía, pero en régimen permanente. Este escenario se proyecta con emisiones globales de GEI medias a altas (SSP3-RCP7.0, O’Neill et al., 2016) y modelos de alta sensibilidad climática.
Además de los descensos en las tasas de precipitación, el aumento de temperaturas implica que cuencas nivales transiten hacia regímenes más pluviales, como podría ocurrir en la cuenca del río Maipo Alto (Figura 1.5). Es importante destacar que la pérdida de capacidad de almacenamiento natural de agua en forma de nieve implica una disminución de disponibilidad hídrica en primavera y verano, cuando mayor es la demanda de agua (Capítulo 2).
Fuentes adicionales de disponibilidad hídrica
La disponibilidad hídrica superficial descrita en este capítulo representa el agua renovable con la que los ecosistemas y la sociedad cuentan para su funcionamiento en el largo plazo. Las reservas naturales de agua, en acuíferos o en forma de nieve y glaciares, así como las reservas artificiales (embalses), complementan la disponibilidad hídrica, principalmente mediante una regulación temporal. La capacidad de ahorrar agua con estos medios permite, también, acceder a un mayor volumen, pero limitado por las tasas de recarga desde la superficie. Dado este límite, un consumo de agua con tasas cercanas o sobre la disponibilidad superficial no será sostenible en el tiempo, independiente de si el acceso es subterráneo, superficial o a través de embalses (ver Capítulos 3 y 4).
Así, las reservas subterráneas y los embalses desempeñan una función crucial en el acceso al agua, aunque están sujetos a las restricciones de disponibilidad natural previamente mencionadas. Desde una perspectiva de infraestructura, es importante señalar que hay otras formas de incrementar la disponibilidad hídrica, como la transferencia de agua entre cuencas y la desalación del agua de mar. La implementación de estas soluciones conlleva beneficios y costos económicos, sociales y ambientales que, a excepción del acceso al agua mediante camiones aljibe (Capítulo 5), no se evalúan en este informe.


Capítulo 2: Usos de agua
Las extracciones de agua afectan los balances hídricos y son determinantes para la seguridad hídrica. Una reconstrucción histórica muestra un aumento sostenido de usos de agua en Chile desde mediados del siglo XX, impulsado por el desarrollo de los sectores agrícola y forestal.
Las extracciones de agua, tanto para consumo humano como usos productivos, afectan los balances hídricos de varios modos, pero en gran medida depende de si el agua utilizada se devuelve a la cuenca intervenida. Así, se reconocen usos de agua con restitución (no consuntivos), como el de una central hidroeléctrica, o sin restitución (consuntivo), como el agua evaporada en algún proceso industrial. Para caracterizar de manera robusta la SH se requiere de una cuantificación completa de estos usos. Sin embargo, la información en esta materia es limitada en Chile, en particular respecto de la evolución histórica de extracciones.
En este capítulo se presenta una reconstrucción de usos de agua sectoriales basada en diversas fuentes de información, incluidos inventarios nacionales e indicadores satelitales de vegetación y cobertura terrestre (ver notas metodológicas 2.1 y 2.2).

Usos actuales de agua en Chile
Considerando los usos consuntivos y no consuntivos, la extracción total de agua en Chile se estima en cerca de 100 km3 por año (Figura 2.1). Este valor es similar, aunque levemente mayor que el de otras estimaciones independientes (DGA, 2017; Fundación Chile, 2018; FAO and UN Water, 2021).
En comparación con otros países, el uso total de agua en Chile es elevado, lo que se explica principalmente por el importante rol que juega la energía hidroeléctrica generada en cuencas cordilleranas de la zona centro-sur, (Figura 2.1). Este proceso conlleva el uso de grandes volúmenes de agua, pero que, salvo por la evaporación desde los embalses, son casi totalmente restituidos al sistema. Así, el uso hidroeléctrico altera principalmente la dinámica del caudal del río intervenido, pero no el balance hídrico de largo plazo de la cuenca en su desembocadura al mar.

Por su parte, los usos de agua consuntivos se atribuyen principalmente al sector que comprende el uso de la tierra, el cambio del uso de la tierra y la silvicultura (UTCUTS). Con un flujo cercano a 12 km3/año (400 m3/s), este sector representa el 75 % del conjunto de usos consuntivos y del sector agua potable. En particular, la agricultura de riego conlleva un alto consumo de agua (9 km3/año, equivalente a 290 m3/s) debido a altas tasas de evapotranspiración de los cultivos, en muchos casos situados en zonas con limitación de agua y alta evaporación potencial(g). Actividades UTCUTS en ausencia de riego representan, también, una parte importante del uso de agua consuntivo (cerca del 20 %). Este uso se asocia principalmente a plantaciones forestales y, en menor medida, a la agricultura de secano y a la evaporación en cuerpos de agua artificiales.
Dado los ciclos estacionales del clima y de la demanda de agua de la vegetación, el uso de agua del sector UTCUTS es muy desigual a lo largo del año (Figura 2.2). Este uso se concentra durante el periodo estival, alcanzando tasas cercanas a 800 m3/s, cifra superior al promedio anual de todos los usos consuntivos de Chile. La oposición de fases entre el consumo de agua de este sector y la disponibilidad hídrica superficial (concentrada en invierno) destaca la importancia de los reservorios naturales y embalses para la industria agrícola y la seguridad alimentaria(g), y enfatiza la necesidad de emprender acciones ante la mayor vulnerabilidad de los reservorios naturales debido al cambio climático (Capítulo 1).
La agricultura tiene, también, una componente de uso no consuntivo, pues una parte del agua de riego retorna al sistema a través de la infiltración. Esta partición depende de la tecnología de riego y su eficiencia, además de las prácticas de manejo.
Los sistemas de agua potable, desde la extracción al tratamiento y restitución de aguas residuales, constituyen un sector de uso de agua parcialmente consuntivo que suma cerca de 55 m3/s en Chile. Este uso se asocia principalmente al suministro en zonas urbanas, de los cuales 30 m3/s (equivalente a 145 litros por persona al día) corresponden al consumo domiciliario. Es decir, en promedio, el abastecimiento de agua potable para consumo humano en Chile está sobre el estándar mínimo de 100 litros/persona/día, aunque existen diferencias importantes dentro del territorio, incluidas zonas con graves problemas de abastecimiento (ver Capítulos 5 y 8).
Los usos de agua consuntivos de los sectores Energía (principalmente generación mediante termoeléctricas), Minería, Pecuario y del conjunto de industrias manufactureras, juegan un rol secundario en la suma nacional, pero son relevantes –en muchos casos dominantes–
a escala comunal o de cuenca.
Cambios desde 1960
Junto con el aumento de la población y el desarrollo socioeconómico, el uso de agua en Chile ha tenido un crecimiento importante en las últimas seis décadas (Figura 2.3). Durante la segunda mitad del siglo XX, los usos no consuntivos han crecido en más de cuatro veces producto del aumento en la generación de energía mediante hidroeléctricas. En el siglo XXI, la capacidad y generación de energía ha seguido creciendo, pero mediante termoeléctricas, con un uso consuntivo de agua importante a nivel local, y, más recientemente, mediante centrales solares y eólicas que tienen un consumo de agua muy bajo (Figura 2.3).

Cabe notar que, entre los sectores incluidos, el uso de agua no consuntivo de la agricultura de riego ha sido el único con una tendencia a la baja. Esto se debe al recambio de sistemas de riego gravitacional a aspersión y localizado, aumentando significativamente la eficiencia de riego en las últimas cuatro décadas. Sin embargo, a pesar de la mejora en la eficiencia, los usos consuntivos agregados de este sector han aumentado en aproximadamente un 30 % desde la década de 1960 debido a una mayor producción de cultivos anuales y un fuerte desarrollo de la industria frutícola. En parte, estos cambios pueden explicarse por la paradoja de la eficiencia de riego.
Esta paradoja plantea que el menor uso de agua no consuntivo asociado al aumento en la eficiencia no se traduce en un ahorro efectivo a escala de cuenca, sino que, por el contrario, genera un mayor uso consuntivo, ya que permite regar más cultivos cuando no se limitan las extracciones totales de agua (Grafton et al., 2018).
La industria forestal, con un desarrollo mayor entre las décadas de 1970 y 2000, también ha contribuido significativamente al aumento del uso de agua en Chile y a la presión sobre los recursos hídricos de cuencas con intenso uso forestal (Galleguillos et al., 2021).
Los cambios en el sector UTCUTS, junto con otros sectores industriales y los usos de agua potable, que también han aumentado desde 1960 a la fecha, han suscitado que el conjunto de usos consuntivos de agua se haya duplicado en este periodo. Los cambios en los usos se han concentrado en las regiones de alta actividad agrícola y forestal, entre las regiones de Coquimbo y La Araucanía, además de las comunas con fuerte desarrollo urbano e industrial (Figura 2.3).
Usos y derechos de aprovechamiento de aguas
Los usos de agua presentados en este capítulo se estiman a partir de actividades humanas existentes en el territorio, independientemente de si estas tienen o no un derecho de aprovechamiento de aguas (DAA) otorgado por la Dirección General de Aguas (DGA). Actualmente, los DAA consuntivos totalizan 31 km3/año en el país, de los cuales 17 km3/año son derechos superficiales y 14 km3/año corresponden a derechos subterráneos. Como es de esperar, los usos estimados son menores que los volúmenes potencialmente aprovechables según los DAA. Sin embargo, a nivel de cuenca se observan excepciones (Figura 2.4), como los casos en donde los usos se suplen mediante agua desalada y que, por tanto, no se registran como DAA (los DAA consideran únicamente fuentes de agua terrestre). Un ejemplo es la cuenca costera Quebrada Caracoles en la región de Antofagasta, con un uso destinado a la industria termoeléctrica, principalmente, y abastecido mediante plantas de desalación.
Otros casos de cuencas cuyos usos de agua estimados superan los DAA tienen relación con actividades silvícolas, como se observa en cuencas costeras entre las regiones del Maule y Biobío. Esto se debe a que no es requisito contar con DAA para utilizar el agua contenida en el suelo proveniente directamente de la precipitación. Sin embargo, tanto la agricultura de secano como las plantaciones forestales generan un consumo que afecta el balance hídrico de la cuenca (Galleguillos et al., 2021; Alvarez-Garreton et al., 2019), y este impacto es considerado en las estimaciones descritas en este informe.

Capítulo 3:Cambios históricos y futuros en los niveles de seguridad hídrica
El balance entre usos y disponibilidad de agua evidencia un alto grado de estrés hídrico en la mayoría de las cuencas del centro y norte de Chile. El crecimiento en la demanda de agua emerge como la principal causa de un aumento gradual del estrés hídrico desde mediados del siglo XX y actúa como amplificador de impactos en periodos de sequía.
Existen múltiples formas de evaluar la seguridad hídrica SH. Independientemente de los factores de gobernanza y acceso al agua (ver Capítulo 6), una manera de cuantificar la SH consiste en contrastar la disponibilidad con los usos de agua a escala de cuencas. En general, se considera que una cuenca tiene una condición de alto estrés hídrico cuando la razón entre el uso y la disponibilidad superficial, conocido como Indicador de Estrés Hídrico (IEH), sobrepasa un 40 % en el mediano plazo (5 a 10 años) (ONU, 1997; Vörösmarty et al., 2000; Oki y Kanae, 2006). Un valor elevado del IEH aumenta el riesgo de experimentar problemas de escasez hídrica(g).
¿Qué nivel de estrés hídrico se observa en Chile?

Considerando el conjunto del territorio, los usos consuntivos y de agua potable representan entre 2 y 3 % de la disponibilidad hídrica. Sin embargo, dado el fuerte contraste regional de disponibilidad hídrica, los niveles de SH a escala local son muy desiguales en el país, con cuencas donde la demanda de agua se acerca o supera la disponibilidad hídrica superficial.
Un caso relevante con niveles altos de estrés hídrico es la cuenca del río Aconcagua (Figura 3.1). En esta cuenca conviven zonas urbanas y rurales, junto con múltiples actividades productivas con un elevado y creciente consumo de agua, en ocasiones superior a la disponibilidad superficial. Así, en Aconcagua, como en otros territorios con una limitación hídrica natural, el acceso al agua depende fuertemente de reservas en embalses y napas subterráneas (ver Capítulo 4).
Durante las décadas anteriores a la megasequía, los usos de agua consuntivos en la cuenca del Aconcagua representaban cerca del 40 % de disponibilidad hídrica en la cuenca; esto ya significaba un nivel medio a alto de estrés hídrico según los estándares de esta métrica. El margen entre usos y disponibilidad hídrica se estrecha en periodos de sequía, como se observa durante la segunda mitad de la década de 1960 o durante la megasequía (2010-2020), periodos en los que el IEH alcanzó un nivel extremo y de sobreúso en la cuenca del Aconcagua, respectivamente.

En promedio, entre 1960 y 2010, la mayoría de las cuencas desde Coquimbo hasta el Biobío (regiones con mayor riesgo de escasez hídrica), mantuvieron niveles medios o bajos de estrés hídrico (Figura 3.2). Solo Aconcagua, además de algunas cuencas costeras, ya experimentaban niveles mayores de estrés durante ese periodo.
Entre los años 2010 y 2020, la combinación de baja disponibilidad hídrica y mayores tasas de uso de agua elevaron severamente el nivel de estrés hídrico de la zona central.
En este periodo, la cuenca del río Maipo pasó a un nivel extremo en su IEH, mientras que en cuencas como La Ligua y Aconcagua se advierten niveles críticos, con usos superiores al agua disponible en superficie (Figura 3.2). Estos niveles de estrés hídrico implican un uso no sostenible de las reservas de agua subterránea, lo cual se evidencia en descensos abruptos del nivel freático(g) en esta zona del país (ver Capítulo 4).
¿Es un problema de oferta o de demanda?
Haciendo un símil con el conocido principio de economía, el indicador de estrés hídrico permite estimar directamente el impacto relativo en los niveles de SH que tienen, por un lado, la variabilidad climática y la disponibilidad hídrica asociada (oferta), y, por otro, los usos de agua (demanda). Este ejercicio de atribución se realiza fijando tasas de uso o de disponibilidad promedio relativas a un periodo de referencia (ver nota metodológica 3.1).
En el caso de Aconcagua se advierte que, además del aumento del estrés hídrico en períodos con déficit de precipitación, el creciente uso de agua ha jugado un rol preponderante, aumentando progresivamente el IEH entre 1960 y 2020 (Figura 3.1). En particular, el mayor uso de agua ha tenido un efecto amplificador en los niveles de estrés hídrico durante 2010-2020, intensificando significativamente el impacto de la megasequía.
En general, en la zona central de Chile el crecimiento en la demanda hídrica desde 1960 ha estrechado la brecha entre disponibilidad y usos (Figura 3.3). Las principales cuencas de las regiones de Coquimbo, Valparaíso y Metropolitana promedian niveles altos de estrés hídrico entre 1990 y 2020. Respecto del periodo de 30 años anterior (1960-1990), el aumento del IEH se asocia principalmente al crecimiento en la demanda hídrica y, en menor medida, al descenso en la disponibilidad hídrica entre ambos periodos.
Escenario futuro
Los niveles de SH en la zona central de Chile se vuelven más críticos cuando miramos hacia el futuro debido al descenso en la disponibilidad hídrica proyectado bajo distintos escenarios de cambio climático. Esta disminución se asocia, principalmente, a menores tasas de precipitación y, en menor medida, al aumento en la evapotranspiración producto de las mayores temperaturas. Como se discute en el Capítulo 1, las proyecciones climáticas tienen varias fuentes de incertidumbre, y la condición real de las cuencas dependerá del escenario global de cambio climático, además de la sensibilidad regional a las perturbaciones climáticas de gran escala. Sin embargo, considerando un conjunto grande de proyecciones, se obtiene consistentemente un escenario desfavorable. Solo por efectos de cambios en la disponibilidad hídrica en un escenario climático adverso, hacia mediados de este siglo se proyectan niveles permanentes (promedios de 30 años) de estrés hídrico altos y extremos en las cuencas de los ríos Elqui, Limarí, Petorca/La Ligua, Aconcagua y Maipo (barras azules en Figura 3.3).
Dado el poco control que se tiene sobre la evolución del clima en términos de gobernanza y acciones a nivel local, y considerando un principio precautorio en cuanto a las proyecciones de disponibilidad hídrica, son de particular relevancia los efectos de la demanda de agua en la evolución de la SH. Tal y como ha ocurrido con los niveles de estrés hídrico en las últimas décadas, las condiciones desfavorables proyectadas hacia el futuro debido al cambio climático podrían amplificarse significativamente de continuar el aumento en la demanda de agua en cuencas con mayor riesgo es escasez (barras rojas en Figura 3.3). Para evaluar este riesgo, se consideró un escenario tendencial en los usos hacia mediados de siglo, con el cual varias cuencas pueden alcanzar niveles extremos de estrés hídrico, en algunos casos, superando el umbral de insostenibilidad física (IEH = 100 %). Esto implica una condición estructural de sobreconsumo con un alto impacto en las reservas de agua subterránea (Capítulo 4).

Capítulo 4: Uso no sostenible de aguas subterráneas
Las reservas subterráneas de agua son fundamentales para la seguridad hídrica en zonas y períodos de baja disponibilidad de agua superficial. Sin embargo, los usos actuales de agua en Chile central están causando un descenso sostenido de estas reservas, lo que nos encamina hacia un agotamiento de los recursos hídricos o día cero, y genera impactos socioeconómicos y ambientales mucho antes de alcanzarlo.
Cuando el agua fresca superficial es la principal fuente de abastecimiento, la intersección entre las curvas de usos y disponibilidad (es decir, IEH mayor a 100 %) indicaría una situación de día cero, momento en que ya no se pueden satisfacer las demandas de agua. Esto, a menudo, conlleva restricciones en el suministro de agua para priorizar el consumo humano. La llegada de un día cero se ha anunciado en grandes ciudades cuyo abastecimiento de agua potable depende de embalses que se han acercado a sus niveles mínimos. Un caso emblemático estuvo cerca de desatar una crisis en Ciudad del Cabo (Sudáfrica) en el año 2018, y un segundo caso se previó para 2023 en Montevideo (Uruguay).
Los altos indicadores de estrés hídrico (IEH) en Chile central descritos en el capítulo anterior sugieren que una condición de día cero podría estar cercana a ocurrir en la capital del país. Sin embargo no han habido cortes mayores de suministro y los usos de agua no han disminuido a pesar del estrés hídrico. A continuación exploramos las razones detrás de esto.
¿Nos acercamos al día cero en Santiago?
La zona metropolitana de Santiago, en la cuenca del Maipo, alberga a casi seis millones de habitantes, equivalente al 30 % de la población de Chile. Esta cuenca tiene actualmente un consumo de agua aproximado de 75 m3/s, lo que representa el 15 % del uso consuntivo del país. Un 60 % de este consumo proviene de la agricultura de riego, mientras que el 35 % corresponde al suministro de agua potable.
La disponibilidad de agua en la cuenca ha disminuido en las últimas décadas debido al cambio climático y a la megasequía. Esto ha ocasionado un incremento en la extracción de agua subterránea para solventar los usos, lo que se condice con el aumento en la concesión de DAA de fuentes subterráneas. En consonancia con el alto grado de estrés hídrico y su incremento a lo largo de las últimas décadas, los pozos muestran una disminución sostenida del nivel freático(g) en la cuenca del Maipo (Figura 4.1). Esto indica que las extracciones de agua del acuífero son mayores a su recarga, es decir, una condición de uso de agua no sostenible a largo plazo (Alvarez-Garreton et al., 2023; Taucare et al., 2023).
A diferencia del tiempo que toma agotar el agua de un embalse superficial, estimar el tiempo para agotar las reservas subterráneas y alcanzar un día cero absoluto es incierto, ya que depende de variables que son difíciles de cuantificar con precisión, como el volumen del acuífero, además de la tasas de recarga y extracción de aguas subterráneas.
Estudios previos han estimado un volumen de agua de 30 km3 para el principal acuífero de la cuenca del Maipo (Araneda et al., 2010), y tasas de recarga en el rango de 10 a 30 m3/s (Döll y Fiedler, 2008). Si consideramos los usos actuales de agua en la cuenca y una proporción de uso subterráneo con respecto al uso total entre 30 y 65 % (el límite superior corresponde a la proporción dada por los DAA, Figura 4.1), el tiempo para agotar el acuífero sería de entre 50 y 200 años. Si bien estas son estimaciones gruesas, proporcionan un orden de magnitud de varias décadas a unos pocos siglos para alcanzar un día cero absoluto en la capital de Chile.

Impactos del descenso de acuíferos en la seguridad hídrica
En contraste con los plazos de día cero asociados a fuentes superficiales, que suelen ser del orden de meses, un horizonte de varias décadas hasta siglos puede parecer lejano para la llegada de un día cero absoluto. Sin embargo, el agotamiento parcial o total de los acuíferos representa un daño medioambiental extremo debido a los largos tiempos de recarga. Además, plantea un dilema de justicia intergeneracional ya que, de no revertir el uso no sostenible de estos recursos, una futura generación será la que enfrente los impactos de una perturbación mayor de los acuíferos.
El descenso de los niveles freáticos generado por el uso no sostenible del recurso genera, en efecto, impactos en la SH mucho antes de alcanzar un día cero. Por ejemplo, la necesidad de profundizar pozos de bombeo para alcanzar el nivel freático trae costos socioeconómicos y exacerba las desigualdades sociales. En zonas rurales, la disminución de los niveles de aguas subterráneas ha provocado interrupciones en el suministro de agua para necesidades básicas y actividades agrícolas a pequeña escala, lo que representa una condición de día cero para esas comunidades (Barría et al., 2021; Duran-Llacer et al., 2020; Muñoz et al., 2020).
Este descenso también puede generar la desconexión de las fuentes de agua superficiales y subterráneas, afectando ecológicamente ríos, humedales y cuerpos de agua, como ha sucedido en varias cuencas de Chile central, como La Ligua, Petorca y Maipo.
Condición en las cuencas de la zona central
Como se describe en el Capítulo 3, la mayoría de las cuencas del centro-norte de Chile han aumentado sus niveles de estrés hídrico con usos de agua que alcanzan o superan la disponibilidad hídrica. En el período 1980-2000, las cuencas entre los ríos Elqui y Rapel tenían un nivel moderado de estrés hídrico (Figura 4.2). Sin embargo, entre 2000 y 2020, la mayoría de las cuencas alcanzaron un estrés alto o extremo, lo que también se manifiesta en un descenso sostenido de los niveles freáticos (Figura 4.2, panel b). El caso más significativo es la reducción de hasta seis metros por década en la cuenca del río Aconcagua.
La cuenca de Rapel es la única que ha mantenido un nivel de estrés moderado, lo que se debe a su mayor disponibilidad hídrica en comparación con las cuencas de las regiones de Coquimbo, Valparaíso y Metropolitana. La cuenca de Rapel tiene un uso consuntivo de 73 m3/s, similar a la cuenca del Maipo, sin embargo, depende menos de fuentes subterráneas (el 47 % de los 94 m3/s DDA otorgados son subterráneos, mientras que en la cuenca del Maipo este porcentaje es 65 %).
Los niveles de estrés hídrico y las tasas de decaimiento de los niveles freáticos de las cuencas de Chile central revelan un desequilibrio estructural: los usos permanentes del agua dependen de extracciones no sostenibles de agua subterráneas, pues superan las tasas de recarga natural. Como se mencionó anteriormente, esto tiene impactos socioeconómicos y ambientales mucho antes de alcanzar un día cero absoluto. Esta situación es probable que persista o se agrave debido a la disminución en las tasas de recarga de acuíferos, de acuerdo a la menor precipitación proyectada en esta región (Capítulo 1), y al eventual aumento en el uso de agua en Chile.
Cabe señalar que los usos de agua de estas cuencas son inferiores a los DAA otorgados (Figura 2.4). Esto sugiere que el sobreúso (uso total de agua que supera a la disponibilidad hídrica de largo plazo de una cuenca) estaría asociado a una gestión del agua que no considera los descensos en disponibilidad, como se analiza en el
Capítulo 7.

Capítulo 5: Seguridad hídrica de la población rural
Frente a una prolongada megasequía y situaciones de escasez hídrica, el uso y el acceso al agua a nivel doméstico para la población rural de Chile se ha complejizado y diversificado. Los camiones aljibe se han normalizado, convirtiéndose en una solución que no atiende los problemas estructurales de gestión del agua.
El acceso al agua para uso doméstico en zonas rurales no depende solamente de la disponibilidad hídrica, sino también del tipo de abastecimiento y su gestión. En el contexto de reconocimiento de la prioridad de acceso al agua para consumo humano en el Código de Aguas y la Ley Marco de Cambio Climático de Chile, es importante entender los factores que inciden sobre la SH de la población de estas áreas, donde se han manifestado mayores dificultades y desafíos en los últimos años.

Los requerimientos de uso del agua de la población rural responden a necesidades de consumo humano, saneamiento, riego de jardines y huertos, alimentación de animales, llenado de piscinas, entre otros. En muchos casos, los usos domésticos se entrelazan con los usos productivos de una economía familiar dedicada a actividades agropecuarias diversas.
Sin embargo, es cada vez más difícil satisfacer las necesidades de las más de 2.2 millones de personas que habitan en localidades y territorios rurales (CASEN, 2017), heterogéneos en cuanto a densidad poblacional, disponibilidad de recursos hídricos e infraestructura. De esta población, solo el 54 % cuenta con abastecimiento de agua potable provisto por una empresa sanitaria mediante una conexión domiciliaria. En tanto, el 46 % restante se abastece mediante una gestión comunitaria, como comités de Agua Potable Rural (APR) u otro tipo de organización, o a través de gestión individual de los hogares, extrayendo agua directamente de la fuente y que no pasa por un proceso de potabilización fiscalizado por el Estado (Figura 5.1). Con respecto al tipo de fuente, estas pueden ser subterráneas, superficiales, camiones aljibe, entre otras.
Por lo general, en las localidades rurales que cuentan con un Plan Regulador, el servicio de agua está concesionado a una empresa sanitaria. En el resto de los territorios, el funcionamiento del abastecimiento de agua depende de la disponibilidad del recurso, así como de los sistemas sociotécnicos(g) instalados y de la gestión del servicio de abastecimiento, cuya combinación llamamos modos de acceso.
Los distintos modos de acceso existentes en las zonas rurales de Chile se resumen en la Tabla 5.1, en donde se distinguen tres grupos principales que se caracterizan según su sistema sociotécnico: 1. los que descansan sobre una red de distribución colectiva; 2. los que dependen de un abastecimiento individual del hogar; y 3. los que combinan ambos (Nicolas-Artero et al., 2022).
Los modos de acceso colectivo

Las organizaciones de APR corresponden a aquellas adscritas al Programa del mismo nombre creado y financiado por el Estado en 1964. A partir del 2020, estas organizaciones pasan a llamarse Servicios Sanitarios Rurales (SSR), luego de la promulgación de la ley que las regula (ver Capítulo 9). En general, el Programa de APR financió redes de abastecimiento en áreas rurales donde hay mayor densidad poblacional, sin embargo, se reconoce la insuficiencia para abarcar las necesidades de los habitantes de localidades menos pobladas y más aisladas. De hecho, tal como muestra la Tabla 5.1 y la Figura 5.1, las organizaciones de APR representan solo una variante de la pluralidad de modos de acceso colectivos existentes. También existen organizaciones formales no adscritas al Programa APR, que en algunos casos se organizan para obtener fondos municipales o privados, y organizaciones autónomas, financiadas y creadas por iniciativa de privados (principalmente los propios vecinos). Esta heterogeneidad muestra que el Estado ha tenido un rol variable en áreas rurales, limitando así su capacidad para garantizar la SH de la población.
Complementando la evaluación de SH descrita en el Capítulo 3, y enfatizando el acceso al agua en zonas rurales donde la población se organiza para su abastecimiento, el nivel de SH de una organización comunitaria o de gestión individual en un hogar se puede evaluar según su capacidad de proveer agua en cantidad y calidad suficiente a sus miembros.
En el caso de organizaciones comunitarias, esta evaluación se hace a partir del Indicador Compuesto de Seguridad Hídrica(g) (ICSH, ver en https://www.cr2.cl/seguridadhidrica), que recoge aspectos de cantidad, calidad, sistema de aprovisionamiento, capacidad organizacional, redes de apoyo y marco institucional (Nicolas-Artero y Blanco, 2024). En el contexto de este informe, se aplicó dicho indicador en diez organizaciones de red colectiva ubicadas entre las regiones de Coquimbo y Los Lagos (ver nota metodológica 5.1), evidenciando que la SH varía en función de las características del modo de acceso instalado en cada organización (Figura 5.2). En particular, los niveles más bajos de SH, ordenados de mayor a menor grado de vulnerabilidad, se encontraron en los siguientes casos de redes colectivas:
-

Figura 5.2. Modos de acceso colectivo y su nivel de seguridad hídrica SH. Adaptado de Nicolas-Artero y Blanco, 2022. Organizaciones autónomas situadas en localidades aisladas
- Organizaciones de tipo cooperativas de APR pequeñas que operan en áreas urbanas (con Plan Regulador)
- Organizaciones de tipo Comité de APR que operan el servicio en localidades rurales aisladas con pérdida de dinamismo organizacional y decrecimiento demográfico
- Organizaciones de tipo Comité de APR grandes, que por cambio de uso de suelo fueron quedando en la periferia de una metrópolis.
El modo de acceso individual en hogares aislados
La población que cuenta con un modo de acceso individual a nivel de hogar, que corresponde al 56 % de la población rural no abastecida por empresas sanitarias (Figura 5.1), se ha visto particularmente afectada por la reducción de la disponibilidad hídrica durante la megasequía, pues dependen directamente de un punto de captación superficial o subterráneo. La menor disponibilidad de la última década, junto con mayores demandas de agua dentro de la cuenca, han generado la desaparición de vertientes o el descenso de los niveles freáticos (Figura 4.2). Esto ha obligado a la población a buscar nuevas fuentes de agua mediante compra de bidones, acarreo desde otras vertientes o ríos, nuevos pozos de bombeo o aumento de la profundidad de los existentes, o mediante camiones aljibe.
El modo de acceso combinado: vivir en situación de emergencia
La búsqueda de nuevas fuentes de agua también ocurre en hogares que cuentan con abastecimiento por redes colectivas que proveen un servicio insuficiente, dando lugar a modos de acceso combinados. Por ejemplo, en un mismo hogar, una familia puede estar conectada a una red de APR, recibir agua por camión aljibe y consumir agua embotellada. Estas situaciones se están multiplicando en áreas rurales del país, lo que conlleva varios efectos negativos sobre la población, como el alto costo del agua en bidones o botellas, cuyo precio por litro es en promedio 400 veces más caro que el de una empresa sanitaria (Fundación Amulén, 2019). También aumenta la exposición al consumo de agua contaminada debido a los múltiples trasvases entre reservorios o el aumento del tiempo consagrado a la obtención de agua, una tarea a la que se abocan principalmente las mujeres (Salinas & Becker, 2022).

El abastecimiento de agua por camiones aljibe surge como una solución en zonas aisladas para responder a situaciones de emergencia producidas por eventos extremos que afectan la calidad o la cantidad de las aguas disponibles. Sin embargo, esta solución se ha normalizado y generalizado en la mayor parte de las comunas rurales del país. En promedio, un camión aljibe entrega 50 litros diarios por persona (Subsecretaría del Interior, 2016) , muy por debajo de los 145 lts que constituyen el consumo de agua potable promedio del país (Capítulo 2) y corresponde al volumen mínimo que la Organización Mundial de la Salud recomienda solo para consumo humano y saneamiento (WHO, 2022). Además, entre 2014 y 2018 el gasto estatal en camiones aljibes superó los 150 mil millones de pesos (Fundación Amulén, 2019).
Cabe señalar que, con el paso del tiempo, se ha diversificado la forma de organización de este tipo de abastecimiento. El financiamiento no solo proviene de reparticiones estatales centrales, sino que también de las municipalidades rurales, de las organizaciones comunitarias, de las familias lugareñas e incluso de empresas privadas dedicadas a actividades extractivas, como parte de programas de responsabilidad social empresarial. Las empresas que prestan el servicio de transporte de agua en camiones se han multiplicado, así como los vendedores de agua, donde destaca la venta de agua a granel por parte de las empresas sanitarias. En la Figura 5.3 se grafica la diversidad de financiamientos de los camiones aljibe: cada columna corresponde a dos posibilidades de circuitos de financiamiento y de distribuciôn en función de quien financia (estado, empresa, hogar) o quien recibe el agua (organizaciones o viviendas aisladas).
El abastecimiento mediante camiones aljibe conlleva aspectos problemáticos, como la apertura de mercados de agua potable sin una regulación establecida. Por ejemplo, un propietario de un DAA que logra acceder a su fuente de agua a pesar de la baja disponibilidad (mediante un pozo profundo), puede vender el agua a organizaciones comunitarias de la misma localidad que no cuentan con la infraestructura necesaria para acceder al recurso (Fragkou et al., 2022). Esto puede generar un aumento del precio del agua y tiene asociado riesgos en términos de su calidad. A pesar de estos problemas y de la normalización de una respuesta considerada de emergencia, existe evidencia de una aceptación social del camión aljibe, ya que provee una respuesta concreta en la vida cotidiana de las familias rurales.
Parte 2: Oportunidades de gobernanza para alcanzar la seguridad hídrica en Chile.

Alcanzar la SH supone tomar acciones que promuevan un equilibrio sostenible y resiliente entre disponibilidad y consumo de agua, además de un acceso suficiente y equitativo a la misma para todos los usuarios, incluyendo la conservación de los ecosistemas. Esto requiere actuar de manera integral y coordinada en distintos ámbitos de gestión, incluyendo:
1. Gestión del agua como elemento de la naturaleza, lo que incluye, entre otras acciones, la gestión, preservación y cuidado de los flujos y almacenamientos de agua asociados al ciclo del agua (Figura II).
2. Gestión del agua como recurso, lo que incluye las prácticas, conocimientos, valoraciones, y formas de relacionarse con el agua que existen en un territorio, desde su extracción, tratamiento (ej. potabilización), distribución y repartición entre distintos usuarios, su uso consuntivo y no consuntivo, hasta el tratamiento de aguas servidas, así como la gestión de aguas lluvias y prevención de riesgos asociados al agua.
3. Gestión del agua como un sistema socioecológico, lo que incluye todas las otras actividades y procesos territoriales que influyen sobre la demanda y uso de agua, tales como la definición de las actividades productivas, usos y coberturas de suelo, formas de habitar, regímenes de propiedad, flujos de personas y materiales, conservación de ecosistemas, etc.
La totalidad de las acciones, públicas y privadas, implicadas en estos distintos planos y la forma en que se coordinan, articulan y orientan entre sí componen lo que se conoce como gobernanza del agua.
Capítulo 6: Gobernanza del agua y seguridad hídrica
La gobernanza del agua en Chile ha tenido avances en términos de seguridad hídrica, sin embargo, todavía existen limitaciones debido a su fragmentación, el carácter reactivo de algunos instrumentos, y brechas de participación, transparencia y uso de evidencia.
Una vez evaluados los niveles de SH en Chile y los desafíos que implica el futuro, examinaremos oportunidades y desafíos para alcanzarla, considerando la gobernanza vigente. Cabe partir reconociendo que esta no es una tarea sencilla, considerando la disminución de disponibilidad hídrica esperada para las próximas décadas, la presión sobre los recursos hídricos concentrada en la zona central de Chile y la vulnerabilidad en el acceso al agua de las zonas rurales del país que se ilustraron en los capítulos anteriores. Para alcanzar la SH se requiere coordinar distintos tipos de medidas y soluciones asociadas a los ámbitos de gestión esquematizados en la Figura II, lo que implica coordinar un gran número de instituciones y actores, incluyendo aquellos pertenecientes al Estado, al sector privado, organizaciones sociales y comunidades.
La evidencia nacional e internacional muestra que no existe un único modelo de gobernanza adecuado para toda situación y que es necesario contar con arreglos que se ajusten a los contextos territoriales específicos. Para proveer respuestas adecuadas frente a los desafíos en materia de SH y cambio climático, estos arreglos de gobernanza deben perseguir algunas condiciones mínimas: acción climática justa, enfoque anticipatorio, enfoque territorial y socioecosistémico, y de buena administración, que son los principios de la Gobernanza Climática de los Elementos(g).
De acuerdo con los análisis desarrollados por el Centro de Ciencia del Clima y la Resiliencia (CR2 2021, 2022), estas condiciones, por lo general, no se cumplen actualmente en nuestro país -aun considerando algunas importantes reformas, que se mencionan al final de este capítulo-, por lo que es necesario superar las siguientes brechas y desafíos para avanzar en esta materia en distintas escalas y sectores de gestión:
El código de Aguas, que define las disposiciones para la gestión de los recursos hídricos en Chile, en su reforma de 2022 incluyó consideraciones importantes en materia de SH, sin embargo, estas siguen siendo insuficientes para garantizar la equidad de acceso a agua y la sostenibilidad del recurso en el tiempo. Por una parte el Código reconoce que las aguas superficiales y subterráneas dentro de una cuenca son parte de una misma corriente (Art. 3) y que estas representan un bien nacional de uso público cuyo aprovechamiento debe resguardar el consumo humano y la preservación ecosistémica (Art. 5), sin embargo, las disposiciones que rigen el uso del agua no permiten cumplir a cabalidad estos principios. Ejemplo de esto son el resguardo insuficiente de los caudales ecológicos y la separación de gestión de fuentes superficiales y subterráneas (Capítulo 7). Lo anterior puede derivar en que, en una misma cuenca, existan comunidades con problemas de abastecimiento de agua potable y actividades silvoagropecuarias e industriales prósperas. En esta misma línea, se destaca que el sistema de asignación de DAA establecido en el Código no incorpora los cambios en disponibilidad de agua y las proyecciones de cambio climático, lo que puede generar un sobreotorgamiento de DAA y puede llevar a la sobreexplotación de cuencas y acuíferos (Capítulo 7).
La institucionalidad, que, actualmente, es fragmentada, con una multiplicidad de agencias, normativas e instrumentos de gestión territorial desarticulados entre sí (más de 40 agencias públicas solo en aguas continentales, a las que se suman las organizaciones locales, como las organizaciones de usuarios de aguas(g), las comunidades de aguas o asociaciones de canalistas, las juntas de vigilancia, etc.), lo que dificulta una buena coordinación. La poca articulación entre la gestión del recurso hídrico y otros sectores ligados al agua, entre territorios urbanos y rurales, entre actores públicos y privados, y dentro del mismo Estado entre instituciones nacionales y locales, conducen a una gestión poco sinérgica, a medidas contradictorias o a escasez de recursos y acciones.
La planificación estratégica es limitada, con una gestión mayormente reactiva que se enfoca en el empleo de medidas extraordinarias y de emergencia. Estas medidas resultan inadecuadas frente a las prolongadas condiciones de sequía que ya ha experimentado nuestro país, así como las proyecciones para el futuro (ver Capítulos 1 y 3). Un ejemplo de esto es la aplicación sucesiva de decretos de escasez hídrica (Capítulo 8) y el uso crónico y desregulado de camiones aljibes para suministrar agua en áreas donde el recurso es escaso o falta infraestructura (Capítulo 5).
La participación pública de los actores territoriales, incluyendo comunidades locales e indígenas, agricultores, empresarios forestales, entre otros, es escasa. Por ejemplo, al condicionar el derecho a voto en la gestión del agua según los DAA que se posean, se marginaliza a quienes tienen menos recursos, pese al evidente interés y potencial contribución que puedan hacer en mecanismos locales de adaptación ante la escasez (Capítulo 10). Asimismo, al no reconocer por igual todas las modalidades de acceso al agua, se discriminan muchas categorías de actores, especialmente los más vulnerables (Capítulo 9).
Las brechas señaladas también permiten identificar oportunidades para abordar los desafíos que involucra alcanzar la SH. Múltiples reformas se han realizado en los últimos años, como la reforma del Código de Aguas adoptada el 2022 (Ley 21.435), la nueva Ley Marco de Cambio Climático (Ley 21.455), la Ley 20.998 de Servicios Sanitarios Rurales (SSR), la prórroga y reforma a la Ley de Riego (Ley 18.450), la nueva Política Nacional de Ordenamiento Territorial (PNOT), la Ley 21.364 que establece el Sistema Nacional de Prevención y Respuesta ante Desastres (SINAPRED), entre otras. La mayoría de estas incorporan, explícitamente, principios y lineamientos que permitirían responder o enfrentar los retos indicados anteriormente; sin embargo, es necesario revisar y dar seguimiento a algunas de sus disposiciones para que estas se traduzcan en regulaciones y capacidades de implementación adecuadas.
Por ejemplo, la Ley Marco de Cambio Climático introduce nuevos instrumentos asociados con los recursos hídricos, que incluyen, entre otros, el Plan de Adaptación al Cambio Climático para los Recursos Hídricos (PACC-RH, en fase de elaboración) y Planes Estratégicos de Recursos Hídricos en Cuencas (PERHC, Capítulo 11). Asimismo, diversas autoridades regionales o locales han empezado a desarrollar procesos deliberativos o de planificación para enfrentar el déficit crónico de recursos hídricos. Adicionalmente, existe un creciente empoderamiento de organizaciones no estatales ligadas al agua, en cuanto a su capacidad de gestión y negociación. Por su parte, el sector privado también ha ido mostrando mayor sensibilización, abriendo oportunidades para mejorar la gobernanza de la SH.
Los siguientes capítulos evidencian algunos de los avances en la legislación vigente o en iniciativas locales, analizando sus oportunidades, límites y desafíos.
Capítulo 7: Derechos de aprovechamiento de aguas y resguardo del caudal ecológico
Desde su modificación en el año 2005, el Código de Aguas establece que todo nuevo derecho de aprovechamiento de agua superficial debe resguardar un caudal ecológico. A pesar del avance en la norma, este resguardo no cumple con requisitos ambientales mínimos y permite usos de agua asociados a niveles extremos de estrés hídrico.
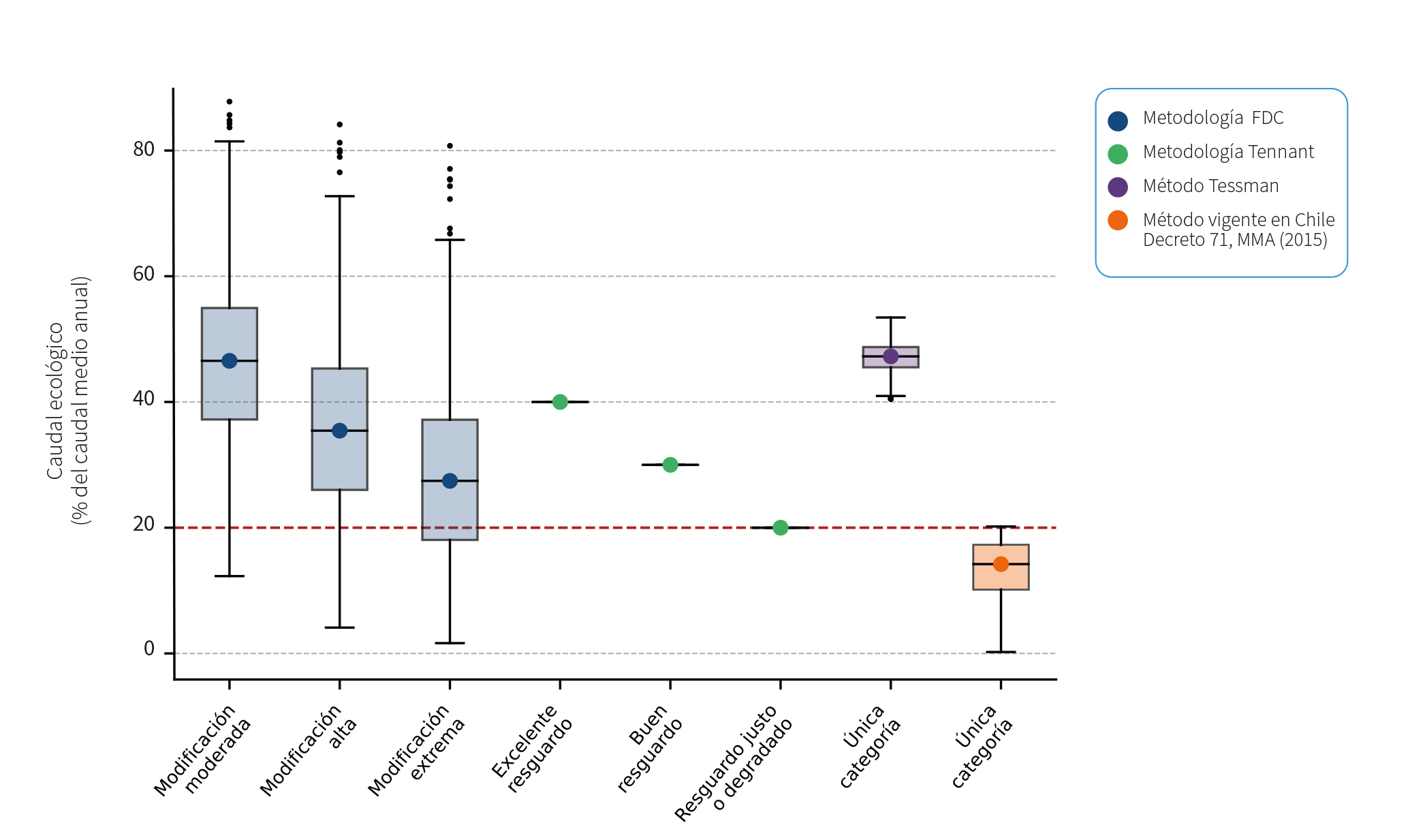
El caudal ecológico se refiere al flujo mínimo de agua necesario en un cuerpo de agua para mantener los procesos ecológicos y los hábitats acuáticos en un estado saludable. Su relación con la SH consiste en garantizar la salud de los ecosistemas acuáticos y su capacidad para proporcionar agua limpia y recursos a largo plazo.
En Chile, el rol del caudal ecológico en la gestión del agua y la protección del medio ambiente se consideró por primera vez en el año 2005, cuando una modificación al artículo 129 bis 1° del Código de Aguas fijó flujos mínimos que se debían resguardar al asignar nuevos DAA superficiales. Además de fijar estos valores mínimos, el artículo también estableció un límite superior, correspondiente al 20 % del caudal medio anual del río, salvo en algunos casos excepcionales definidos en la normativa vigente (Código de Aguas, 2022).
El reglamento vigente para el cálculo de caudales ecológicos corresponde al Decreto 71 del Ministerio del Medio Ambiente (MMA), en donde se define un caudal ecológico mensual como el menor valor entre el 50 % del caudal con una probabilidad del 95 % de excedencia (que es superado el 95 % del tiempo) y el 20 % del caudal promedio anual (Decreto 71, 2015). Este cálculo se basa en observaciones de caudal con, al menos, 25 años de registro o estimaciones de estos en caso de no existir observaciones.
Para evaluar la compatibilidad entre el sistema de asignación de DAA y la SH, a continuación analizamos el riesgo ambiental y el riesgo de estrés hídrico asociado al sistema vigente.
Riesgo ambiental
La normativa vigente para el resguardo de caudal ecológico no presenta un respaldo científico que justifique los criterios definidos para su cálculo. En particular, no se justifica el límite máximo del 20 % del caudal medio anual establecido en el Código de Aguas. Imponer este límite implica que el caudal resguardado no sigue el ciclo estacional de un cauce cuando este es marcado, como en los casos en que los caudales máximos se concentran en pocos meses (ver Figura 1.2, Capítulo 1).
Al contrastar la normativa vigente con el caudal ecológico anual que se obtiene mediante otras metodologías de cálculo disponibles en la literatura (obtenidas a partir de revisión bibliográfica, Alvarez-Garreton et al., 2023), se constata que el caudal ecológico resguardado en Chile es insuficiente para cumplir con los requisitos ambientales mínimos, provocando una degradación y modificación seria de los ecosistemas acuáticos (Figura 7.1).

El resguardo insuficiente del caudal ecológico, sobre todo en el largo plazo, puede tener repercusiones más allá del ecosistema acuático. La sobrevivencia de la vegetación ribereña, que ayuda a mantener la calidad del agua, depende de la mantención de este caudal. Además, un caudal insuficiente conlleva un menor aporte de nutrientes y sedimentos al mar, lo cual impacta negativamente en la biodiversidad costera y tiene un efecto directo en la geografía de fiordos y estuarios (Masotti et al., 2018 ).
Riesgo de estrés hídrico y de sobreotorgamiento
El resguardo del caudal ecológico tiene directa relación con los niveles tolerados de escasez hídrica. De hecho, el caudal ecológico establecido por ley implica que el Indicador de Estrés Hídrico (IEH) pueda sobrepasar el 80 %, esto es, un nivel elevado de este índice (ver Capítulo 3). En efecto, si la totalidad de los DAA permitidos por ley (entre un 80 y un 100 % del caudal medio anual del río) fueran otorgados y se ejercieran como uso efectivo, todas las cuencas de Chile estarían en una categoría de riesgo extremo de estrés hídrico.
Además, los DAA superficiales se otorgan como flujos mensuales o anuales fijos en el tiempo, considerando un caudal ecológico como un valor fijo para cada mes. Sin embargo, la variabilidad de la disponibilidad de agua en Chile entre un año y otro llega al orden del 50 % del caudal medio anual en las cuencas de la zona central (Figura 1.2). Por esta razón, un volumen fijo asignado como DAA superficial, que puede llegar al 80 % o más del caudal medio anual, frecuentemente quedará por sobre la disponibilidad hídrica real de una cuenca. Esta condición de sobreotorgamiento se exacerba aún más si consideramos también la disminución de la disponibilidad hídrica en Chile central proyectada para las próximas décadas (Figura 1.4).
La discordancia entre un DAA superficial otorgado y la disponibilidad efectiva conlleva incertidumbre para los usuarios de agua y dificulta su gestión.

Por otro lado, el sistema de asignación de DAA separa la gestión del agua superficial y subterránea, y dado que los DAA subterráneos no consideran la situación en superficie, la suma de ambos puede sobrepasar la disponibilidad hídrica de una cuenca, tal como ya se observa en la cuenca del río Maipo (Figura 4.1). Como se describe en el Capítulo 4, esto puede generar descensos sostenidos de los niveles freáticos, lo que conlleva efectos socioeconómicos para los usuarios que deben profundizar sus pozos para alcanzar napas cada vez más profundas.
Por último, cabe destacar que las modificaciones al Código de Aguas no son retroactivas. Esto implica que los 370 m3/s otorgados como DAA superficial antes del año 2005, que corresponden al 72 % del total otorgado al presente, no se modificaron para incluir el resguardo de caudales ecológicos (Figura 7.2).
Capítulo 8: Declaración de zonas de escasez hídrica
La declaración de una zona de escasez hídrica es un instrumento que busca enfrentar los impactos de sequías severas y garantizar el consumo humano. Sin embargo, su implementación sucesiva tiene efectos negativos (no previstos) en la seguridad hídrica, incluidos el aumento del nivel de estrés hídrico de las cuencas y la amenaza a los ecosistemas fluviales.
Con el fin de reducir al mínimo los daños derivados de la sequía, el Código de Aguas establece la declaración de zonas de escasez hídrica (Art. 314 y 315), un instrumento que define herramientas de gestión para garantizar el consumo humano y facilitar el acceso a nuevas fuentes de agua. Este instrumento se activa mediante un decreto de escasez firmado por el presidente de la República, a petición y con informe previo de la Dirección General de Aguas (DGA), el cual se basa en un análisis de las condiciones hidrometeorológicas de un territorio. Una vez decretado, se aplica para una cuenca, región, provincia o comuna, por una duración máxima de un año, prorrogable sucesivamente siempre que la DGA presente un informe para cada período de prórroga.
Hay tres tipos de gestiones que emergen a partir de la declaración de un decreto de escasez, las que se enfocan en: redistribución de usos de agua, asignación de presupuesto y autorización de nuevas extracciones.
Mientras un decreto de escasez está vigente, la DGA puede exigir a las juntas de vigilancia (organizaciones responsables de administrar y distribuir los derechos de agua entre sus miembros) un plan de redistribución de las aguas entre los usuarios de una cuenca, en donde deben prevalecer los usos para consumo humano, saneamiento o de subsistencia. En el caso que las juntas de vigilancia no lleguen a un acuerdo de redistribución dentro del plazo establecido por la DGA, o no cumplan con la prioridad para el consumo humano, la DGA podrá disponer la suspensión de las atribuciones de las juntas de vigilancia y realizar directamente la redistribución de las aguas superficiales o subterráneas disponibles.
Los decretos de escasez también permiten la liberación de recursos de emergencia por parte del gobierno central, regional y provincial para resolver situaciones críticas de acceso al agua, lo que se utiliza, por ejemplo, para el financiamiento de camiones aljibe.
Durante la vigencia del decreto, la DGA también puede autorizar extracciones de aguas superficiales o subterráneas destinadas con preferencia a los usos de consumo humano, saneamiento o al uso doméstico de subsistencia, sin la necesidad de constituir DAA y sin la limitación del caudal ecológico mínimo establecido en el artículo 129 bis 1°.
Impactos de los decretos de escasez en la seguridad hídrica
Las medidas anteriormente descritas representan soluciones que fueron concebidas como temporales y reactivas ante una situación de emergencia. Sin embargo, los decretos de escasez se han aplicado durante varios años consecutivos entre las regiones de Atacama y del Maule (Figura 8.1), lo que puede generar impactos no previstos en la SH.

En primer lugar, las nuevas extracciones permitidas por la DGA se hacen, principalmente, desde fuentes superficiales o subterráneas dentro de la misma cuenca, lo que, en rigor, no representa una fuente adicional de agua en términos de balance. Por ejemplo, cuando un usuario modifica un pozo para acceder a niveles freáticos más profundos o instala nuevas bocatomas de fuentes superficiales cercanas a su predio, el agua extraída forma parte de la misma disponibilidad hídrica natural o de las reservas de aguas subterráneas de la cuenca (ver sección acerca de fuentes adicionales del Capítulo 1). De esta forma, la declaración sucesiva de los decretos de escasez en la última década (Figura 8.1) estaría propiciando la intensificación del uso de aguas subterráneas durante la megasequía. En las cuencas de la zona centro-norte de Chile, el acceso a estas reservas ha permitido que los usos de agua se hayan mantenido en la última década a pesar de la reducción en la disponibilidad producto de la megasequía (Capítulo 4). Desde el punto de vista de satisfacer la demanda, lo anterior puede interpretarse como una mitigación de los impactos de la sequía y por lo tanto como un objetivo logrado del decreto de escasez. Sin embargo, mantener estos usos tiene costos asociados (por ejemplo, debido a la profundización de pozos), y genera un impacto directo en los niveles de estrés hídrico a escala de cuenca (aumenta el IEH).
El problema radica en que cuando la baja disponibilidad se proyecta en el tiempo, la aplicación sucesiva de un instrumento que se enfoca en propiciar los usos que habían en épocas de mayor disponibilidad puede generar un condición estructural de sobreúso. Esto conlleva impactos socioeconómicos y riesgos asociados al uso no sostenible de reservas subterráneas.
Además, la aplicación sucesiva de los decretos de escasez implica que pueden pasar años en donde la totalidad del agua superficial es utilizada sin resguardo de un caudal ecológico.
Esto contradice la importancia que el mismo Código de Aguas reconoce con respecto a este resguardo en su artículo 129 bis 1°. Como se vio en el Capítulo 7, un resguardo insuficiente del caudal ecológico tiene consecuencias graves en la salud de los ecosistemas y, por lo tanto, en la SH.
En resumen, el decreto de escasez forma parte de una perspectiva de intervención reactiva que no reduce los usos totales de agua en períodos de sequía, aumentando los niveles de estrés hídrico a escala de cuenca y degradando los ecosistemas. Si bien esto puede considerarse una medida viable para asegurar usos humanos de agua durante períodos acotados, su implementación sucesiva tiene efectos negativos no previstos en la SH.
Capítulo 9: Ley de Servicios Sanitarios Rurales
La Ley de Servicios Sanitarios Rurales, que entró en vigencia el año 2020, promete avances en la gestión del agua rural; sin embargo, hay aspectos de la gestión comunitaria y de otros modos de acceso al agua que se deben considerar para facilitar el cumplimiento de las nuevas exigencias.
Como se discutió en el Capítulo 5, el acceso al agua en aquellas zonas rurales que no son abastecidas por empresas sanitarias depende tanto de la gestión de organizaciones comunitarias como de hogares con modos de abastecimiento individual. Estas organizaciones y hogares enfrentan grandes desafíos, entre los que destacan la insuficiencia del sistema sociotécnico para proveer agua en cantidad y de calidad suficiente, la sostenibilidad económica de la organización y los desafíos propios de la gestión.
Atendiendo a estos desafíos, el año 2020 entró en vigencia la Ley 20.998 de Servicios Sanitarios Rurales (SSR), que corresponde al mayor avance institucional en materia de gestión del agua en zonas rurales. Esta ley crea un marco regulatorio general para el acceso al agua en estas áreas que hasta el momento solo había estado parcialmente normado en el Programa de APR.
La Ley de SSR permite aumentar el gasto estatal destinado a fortalecer a todas las organizaciones comunitarias encargadas del servicio de agua en áreas rurales, incluyendo a las que no fueron creadas por el Programa de APR. En ese sentido, desde el 19 de octubre del 2021, las organizaciones reconocidas por el Estado pasan a convertirse, de facto, en Servicios Sanitarios Rurales, esto quiere decir, en operadores de los servicios y amparados por la Ley. Para ello, la Superintendencia de Servicios Sanitarios (SISS) realizó un catastro de las organizaciones comunitarias adscritas al Programa, las “formales” y las “autónomas” en todo el país. De esta manera, la Ley abarca a todas las organizaciones con un modo de acceso colectivo (Tabla 5.1), sin incluir a los servicios en condominios privados y los modos de abastecimiento de hogares individuales.
El reglamento establece que, después de dos años de su publicación, los SSR tienen un período de dos años para obtener la licencia y mantenerse como operadores reconocidos por el Estado. Para contar con esa autorización deben obtener la personalidad jurídica, delimitar su zona de concesión y cumplir varios requisitos formales, como, por ejemplo, aplicar la tarifa fijada por la SISS.
Que el Estado logre llegar con apoyo económico a todos los SSR representa un gran avance en dirección a alcanzar la SH en zonas rurales, ya que fortalece los sistemas sociotécnicos y la gestión de las organizaciones. Sin embargo, este avance no sería transversal para toda la población rural, pues la ley se centra en los modos de acceso colectivos, sin proponer soluciones para las viviendas aisladas que gestionan su acceso de manera individual, las que representan el 56 % de la población rural no abastecida por empresas sanitarias, lo que equivale a cerca de 567 mil personas (Figura 5.1).
Una segunda limitación tiene relación con la fiscalización que la SISS realizará a los SSR, tal y como lo hace con las empresas sanitarias urbanas, con el fin de mejorar la gestión de las organizaciones. Pese a que esto representa un avance para hacer cumplir algunos criterios mínimos para alcanzar la SH en zonas rurales, las organizaciones locales y gremiales de APR han subrayado algunos aspectos potencialmente problemáticos de este mecanismo, como nuevas exigencias en la gestión interna que, en algunos casos, pueden estar poco adaptadas a las diversas situaciones sociales y técnicas de las localidades rurales.
Por ejemplo, la fiscalización exige un mayor uso de herramientas computacionales y mayor conectividad mediante internet y teléfonos móviles, lo que requiere de un avance sociotécnico considerable en algunas organizaciones. De hecho, muchas de ellas no cuentan con sede comunitaria ni buena señal en su localidad. También se les exige aplicar tarifas de cobro definidas por la SISS, lo que es percibido como una intromisión en las organizaciones, y la población teme una fuerte alza del precio que pueda generar mayor morosidad y tensiones locales. En general, la marginalidad de algunas áreas rurales, las capacidades organizacionales limitadas, así como las percepciones sobre las complejidades burocráticas y técnicas desde las comunidades rurales, no se han considerado en la aplicación de esta ley, lo que puede generar problemas concretos que impidan cumplir con sus objetivos.
De acuerdo a entrevistas levantadas en el sector público, el plan de acción de la SISS a nivel nacional es acompañar a las organizaciones en esta transición, y no aplicar una fiscalización estricta y punitiva. Sin embargo, la actual dotación de medios sería insuficiente para que los funcionarios encargados de su aplicación a nivel regional puedan trabajar de manera efectiva con las organizaciones y otorgarles un acompañamiento adecuado en función de sus necesidades.
De manera más amplia, la eficacia de la Ley de SSR dependerá de factores muy diversos que se relacionan con la gobernanza del agua en Chile y las condiciones climáticas. Por ejemplo, la mejora de la seguridad hídrica de los SSR dependerá de los recursos hídricos disponibles, de los caudales constituidos a favor de la respectiva organización, de los conocimientos y conciencia de las dirigencias sobre la escasez hídrica y el cambio climático, del nivel de asociatividad entre comités y del financiamiento que puedan conseguir desde el Estado (Figura 9.1).

Capítulo 10: La transformación como respuesta en comunidades rurales
Mientras la institucionalidad se ajusta a los desafíos que supone la seguridad hídrica, las comunidades rurales desarrollan cotidianamente acciones a nivel local para asegurar el consumo humano y de subsistencia.
Avanzar hacia la SH de la población rural no solo pasa por aspectos normativos e institucionales, también existen respuestas individuales y colectivas que emergen y se consolidan a escala local. Estas acciones locales ilustran la capacidad de autogestión de las comunidades para hacer frente a los problemas de acceso al agua y pueden servir como ejemplos susceptibles de ser adaptados y aplicados en otros contextos, escalas y territorios.
Estas acciones pueden ser de tipo adaptativo o transformativo. La evidencia científica ha mostrado que las acciones adaptativas, que involucran cambios incrementales, son de utilidad cuando abordan impactos de baja severidad (Aldunce, 2019). Sin embargo, estas acciones pueden ser insuficientes si los impactos que enfrentan son de mayor severidad, complejos o con altos niveles de incertidumbre. En esos casos, serían necesarias acciones transformativas, que involucran cambios profundos en los ámbitos económico, tecnológico, social y de comportamiento (Aldunce et al., 2021). Estos cambios pueden seguir trayectorias positivas, en las cuales el sistema se ajusta y adapta actuando rápidamente para evitar la profundización de la vulnerabilidad. Pero también hay cambios que pueden devenir en trayectorias negativas cuando fortalecen intereses y condiciones dominantes, expresando el potencial de perpetuar los patrones de vulnerabilidad (Few et al., 2017; Aldunce, 2019; Moser et al., 2019).
En este capítulo presentamos las acciones de transformación identificadas en los diez casos de estudio mencionados en el Capítulo 5. Se destacan, especialmente, las acciones transformativas que describen trayectorias positivas y que presentan potencial de ser adaptadas y aplicadas en otros contextos (ver nota metodológica 10.1).
De un total de 26 acciones identificadas, 17 fueron clasificadas como de tipo adaptativas y nueve como acciones de transformación. Estas últimas implican modificaciones profundas en los sistemas de organización local (ver resumen en la Tabla 10.1), incluyendo innovaciones en la formación y capacitación de miembros de las organizaciones estudiadas, la asociación con empresas privadas, la innovación en la estructura de la organización rural y en sus mecanismos de gestión interna, las asociaciones con otras organizaciones rurales, y el monitoreo de cuencas.
Las acciones identificadas en la Tabla 10.1 se caracterizan por ser deliberadas y planificadas en vez de reactivas, lo que supone el desarrollo y articulación, por ejemplo, de nuevos métodos de organización, planificación y control. Además, están respaldadas por estrategias que incluyen mecanismos de seguimiento y evaluación, y se concretan en diferentes dominios de transformación(g). En particular, se observan transformaciones o cambios profundos en los valores (dominio cognitivo), en arreglos institucionales y gobernanza (dominio estructural), en la relación entre actores (dominio relacional) o en el comportamiento de sistemas socioecológicos (dominio funcional) (Fazey et al., 2018).
Las acciones identificadas fueron desarrolladas en seis de las diez organizaciones estudiadas y responden principalmente a dificultades para satisfacer los requerimientos de agua en términos de cantidad y calidad (captación, distribución y tratamiento). No se observa una relación evidente entre el tamaño de la organización y su buena disposición hacia la presencia de transformación. En general, las organizaciones que las han desarrollado tienen características comunes, como la existencia de equipos dirigenciales robustos y con capacidad de liderazgo que actúan como agentes transformadores.
En varios de estos casos se observa un cambio de valores que impulsa las acciones de transformación. Cuando esto ocurre, es más probable que las organizaciones formalicen las innovaciones generadas, como nuevas reglas o acuerdos de gestión. Esto tiene como correlato una redefinición de procedimientos y formas de gestión que reflejan estos cambios de valores y percepciones en relación con el recurso hídrico.
Es relevante destacar que aunque las comunidades rurales tienen capacidad de transformación, es necesario fortalecerla y proporcionar un respaldo institucional adecuado, facilitando la eventual escalabilidad de las acciones. Para lograr esto, es fundamental identificar las características comunes de las organizaciones que han impulsado estas transformaciones, como la presencia de líderes, cuya capacidad transformadora es recomendable fortalecer a través de capacitación y apoyo institucional, y el fomento a la colaboración entre los diferentes actores involucrados en la gestión del agua. Esto último promueve la generación de alianzas y la difusión e intercambio de información y experiencias entre las distintas comunidades y escalas mediante plataformas y redes.
Junto con lo anterior, para alcanzar el éxito de la transformación a mayor escala, se debe reconocer la necesidad de un cambio de paradigma que aborde las debilidades existentes en términos de gobernanza. En este sentido, la innovación que suponen los Planes Estratégicos de Recursos Hídricos en Cuencas (Capítulo 11) puede ser una oportunidad, en tanto las organizaciones comunitarias de gestión del agua (SSR) tengan un grado de representación o participación que les permita plantear sus inquietudes y respuestas transformativas.

desarrollaron este tipo de acciones. Para más detalles ver https://www.cr2.cl/datos-acciones-transformacion
Capítulo 11: Planes Estratégicos de Recursos Hídricos en Cuencas (PERHC)
La agenda política y legislativa reconoce que alcanzar la seguridad hídrica requiere un enfoque integrado y resiliente al clima, e incorpora los PERHC como instrumento para lograrlo. Esta meta presenta desafíos que demandan prestar atención a la evidencia científica disponible, tanto en materia de seguridad hídrica como de gobernanza.
Con el objetivo de avanzar hacia una gestión integrada que permita alcanzar la SH, con miras de largo plazo y con foco en adaptación al cambio climático, la última modificación al Código de Aguas (2022) y la Ley Marco de Cambio Climático actúan de manera coordinada en incorporar un nuevo instrumento de gestión denominado Planes Estratégicos de Recursos Hídricos en Cuencas (PERHC).
Los PERHC vienen a sustituir los anteriores Planes Estratégicos de Gestión Hídrica de Cuenca (PEGHC), un instrumento de gestión que fue empleado por la DGA para conocer y gestionar la disponibilidad y demanda del agua superficial y subterránea, y sus proyecciones hacia el futuro. En cambio, los PERHC quedan establecidos como un instrumento de gestión intersectorial que estará a cargo del Ministerio de Obras Públicas, en conjunto con los ministerios del Medio Ambiente, de Agricultura, de Ciencia, de Relaciones Exteriores, y organismos territoriales, como los Comités Regionales de Cambio Climático. Al estar explícitamente amparados en las leyes que los establecen, los PERHC gozan de un estatus jurídico superior y más sólido respecto de los PEGHC.
Pese a lo anterior, la ley vigente no establece un acompañamiento descentralizado que apoye la aplicación de los PERHC aparte de los ministerios mencionados. Esto implica que su desarrollo e implementación podría oscilar según los cambios de Gobierno, lo que puede dificultar su buen funcionamiento a largo plazo. Atendiendo esto, el Ejecutivo se ha comprometido en generar Consejos de Cuenca como base institucional para coordinar y promover la colaboración entre las partes interesadas y llevar a cabo los PERHC. Sin embargo, a falta de una ley que los ampare, los Consejos de Cuenca han avanzado lento y con una recepción ambivalente por parte de los actores locales, quedando incierto en qué tiempos se logrará su implementación.
Oportunidades de los PERHC
La implementación de los PERHC considera tres etapas principales: una caracterización de la cuenca, una priorización de acciones y un plan de gestión. Con esto, se busca avanzar hacia una gestión hídrica más integral y sostenible, generando un instrumento con fuerza de ley que sitúa a las cuencas hidrográficas como unidad base de administración. Esto permite evaluar los balances entre la disponibilidad y usos de agua, y diseñar estrategias que permitan compatibilizar los usos con metas de SH.
Junto con ello, los PERHC profundizan la participación ciudadana, lo que supone una mejor resolución de los conflictos socioambientales dentro de una cuenca. También postulan propuestas de soluciones basadas en la naturaleza, como la recuperación de acuíferos para el desarrollo de ecosistemas y para aumentar el almacenamiento del agua en la cuenca. Además, no se limitan al fortalecimiento de las Organizaciones de Usuarios de Agua para la regulación del recurso, sino que generan bases para una mejora de su gobernanza, incluyendo distintos actores en torno a un mismo sistema socioecológico.
En base a los objetivos y fase de desarrollo actuales en los que se encuentran los PERHC, se concluye que la gestión que plantean tiene el potencial para acercar el actual modelo de gestión del agua hacia un uso sustentable, que mantenga el equilibrio socioecológico y que permita alcanzar metas de SH. Sin embargo, para poder ser efectivos, estos deben contar con información robusta y actualizada, y una gobernanza y atribuciones adecuadas.
En cuanto a lo primero, la evidencia científica puesta a disposición en este informe puede ser de utilidad: por ejemplo, las estimaciones de disponibilidad y usos de agua (Capítulos 1 y 2) pueden servir para la etapa de caracterización de cuencas. En tanto, el Indicador de Estrés Hídrico (IEH) discutido en los Capítulos 3 y 4 los puede dotar de una métrica agregada que permita establecer metas de SH a escala de cuenca, o bien, niveles tolerables de riesgos de estrés hídrico, y así informar acciones para alcanzar esos niveles. Asimismo, la evidencia provista con respecto a los múltiples modos de acceso al agua y los desafíos que enfrenta la comunidad rural para alcanzar la SH (Capítulos 5 y 9), los límites en las formas actuales de abordar la escasez (Capítulo 8) y la evidencia respecto de acciones transformativas locales para enfrentar problemas de escasez hídrica (Capítulo 10) pueden servir de insumo para la etapa del plan de gestión.
En cuanto a la gobernanza, la efectividad de los PERHC dependerá de la capacidad de avanzar de manera coordinada con las reformas en curso en otros instrumentos normativos y de gestión, de manera de avanzar transversalmente hacia una gobernanza de la SH conforme con los desafíos asociados al actual régimen de escasez y las futuras tendencias de cambio climático (Capítulo 6).
Conclusiones
Este informe proporciona una síntesis de base científica que permite caracterizar y abordar desafíos en materia de seguridad hídrica en Chile. De esta evaluación se desprenden las siguientes conclusiones:
La mayoría de las cuencas entre las regiones de Coquimbo y del Maule han experimentado niveles altos a extremos de estrés hídrico durante la década de 2010-2020. Esta situación está directamente vinculada a la megasequía y a la menor disponibilidad hídrica particular de este período, pero se agrava sustantivamente debido a niveles elevados de uso de agua en estas regiones, relativo a la disponibilidad hídrica.
En una perspectiva histórica de más largo plazo, las tendencias de las últimas seis décadas indican un incremento importante en los niveles de estrés hídrico en la zona central de Chile. Este incremento se asocia, en primer lugar, al aumento en el consumo de agua y, en menor medida, a la disminución en la disponibilidad hídrica superficial. Durante este periodo, los usos de agua consuntivos se han duplicado, impulsados principalmente por el desarrollo de las industrias agrícola y forestal.
La megasequía, causada en parte por variabilidad climática natural, se superpone a –y acentúa– una tendencia observada durante varias décadas hacia un clima más seco en Chile central, que asociamos a una señal de cambio climático.
En un escenario adverso de cambio climático, hacia fines del siglo XXI se proyectan condiciones similares a aquellas de la megasequía, pero de forma permanente, con disminuciones de precipitación cercanas a un 30 % y una menor capacidad de almacenamiento de nieve en los Andes. Este escenario supone una importante disminución en la disponibilidad hídrica superficial, particularmente durante el verano, cuando hay una mayor demanda de agua, lo que representa un riesgo para la industria agrícola y la seguridad alimentaria.
En un escenario adverso de menor disponibilidad hídrica y de mayor uso del agua, es probable que la mayoría de las cuencas de la zona centro y norte del país experimenten de forma permanente niveles altos y extremos de estrés hídrico a mediados de este siglo.
Las tasas actuales de uso de aguas subterráneas en Chile central son mayores a la capacidad de recarga de los acuíferos, causando un descenso sostenido de estas reservas Esto profundiza los impactos socioeconómicos y ambientales, y encamina hacia un agotamiento absoluto de los recursos hídricos (día cero). El momento en que se alcanzará el día cero es incierto, pero, considerando que el plazo se encuentra en el rango de décadas a unos pocos siglos, supone un problema intergeneracional en Chile.
El camión aljibe es una respuesta de emergencia para el abastecimiento de agua potable en zonas rurales que no representa una solución para garantizar la seguridad hídrica.
A partir de la identificación de desafíos y oportunidades de gobernanza para impulsar políticas públicas y acciones que permitan avanzar hacia una gestión sostenible de los recursos hídricos, se concluye lo siguiente:
Existen disposiciones del Código de Aguas que se contraponen con metas de seguridad hídrica, en particular:
- El resguardo del caudal ecológico no cumple con requisitos ambientales mínimos. En efecto, si se otorgaran y ejercieran todos los derechos de aprovechamiento de aguas (DAA) superficiales permitidos por ley, todas las cuencas de Chile tendrían indicadores de estrés hídrico superiores al 80 %, lo que se asocia con un nivel extremo de estrés hídrico.
- La asignación de DAA subterráneos no considera el resguardo de caudales ecológicos y se asignan sin considerar los DAA superficiales preexistentes en la cuenca.
- Los DAA superficiales y subterráneos se asignan como valores de flujos absolutos fijos en el tiempo, sin considerar cambios a largo plazo en la disponibilidad de agua impulsados por el clima.
-
La declaración de zonas de escasez hídrica exime el resguardo de los caudales ecológicos y propicia la mantención de los usos de agua que existían en épocas de mayor disponibilidad, por lo que su aplicación sucesiva promueve condiciones estructurales de sobreúso y degradación de los ecosistemas.
La eficacia de la Ley de Servicios Sanitarios Rurales depende de las acciones de apoyo y fortalecimiento de las organizaciones rurales que gestionan el agua y de su nivel de preparación, así como de la posibilidad de evaluar la extensión de sus beneficios a usuarios que no pueden acceder a modos de acceso colectivos.
Las comunidades rurales han desarrollado acciones de transformación para asegurar el consumo humano y de subsistencia, las que pueden servir de guía para fortalecer la resiliencia en zonas rurales.
Los Planes Estratégicos de Recursos Hídricos en Cuencas (PERHC) representan una oportunidad para alcanzar seguridad hídrica y la evidencia presentada en este informe puede servir de insumo para lograrlo.
Finalmente, destacamos que los productos generados en el marco de esta investigación son de libre acceso y se encuentran disponibles en la plataforma de seguridad hídrica del Centro de Ciencia del Clima y la Resiliencia https://seguridadhidrica.cr2.cl
Recomendaciones
1
Establecer metas de seguridad hídrica (SH) y definir usos de agua compatibles con dichas metas:
1.1 Establecer metas de SH en la política pública, en primer lugar, especificando mediante un indicador objetivo un nivel máximo de estrés hídrico tolerable en las cuencas de Chile, y considerando los impactos de sobrepasar dicho nivel en la sociedad y los ecosistemas. El objetivo de limitar el estrés hídrico, junto con metas enfocadas en otros aspectos de la SH (acceso, calidad, priorización de usos, etc.), deberían orientar de forma transversal los distintos instrumentos de política pública, así como los programas políticos y sectoriales.
1.2 Determinar el límite de uso total de agua dentro de una cuenca compatible con el nivel de estrés hídrico establecido en la meta de SH, y diseñar medidas de gestión siguiendo el principio precautorio que permitan limitar el uso de los derechos de aprovechamiento de aguas de acuerdo a este límite. Cabe notar que, además de la regulación de los usos, la mantención del estrés hídrico en niveles bajos también puede lograrse mediante el empleo de fuentes de agua alternativas que permitan aumentar la disponibilidad hídrica, las cuales deben evaluarse y priorizarse sobre la base de sus impactos socioeconómicos y ecosistémicos.
1.3 Definir mecanismos de monitoreo, reporte y verificación que permitan dar seguimiento al cumplimiento e impacto de estas medidas, de manera transparente y fundada en evidencia científica.
Dirigido a:
- Ministerio de Obras Públicas/DGA
- Ministerio del Medio Ambiente
- Plan de Adaptación al Cambio Climático para los Recursos Hídricos
2
Establecer Indicadores de Estrés Hídrico (IEH) de cuencas en los Planes estratégicos de Recursos Hídricos en Cuencas (PERHC):
2.1 Los PERHC deberían contar con indicadores que monitoreen el nivel de estrés hídrico de las cuencas de Chile, como el IEH utilizado en este informe, que consideren la disponibilidad y los usos proyectados para el país en un contexto de cambio climático.
Dirigido a:
- Ministerio de Obras Públicas/DGA
- Ministerio del Medio Ambiente
3
Modificaciones al Código de Aguas y reglamentos asociados:
3.1 Modificar el artículo 129 bis 1° del Código de Aguas que define el caudal ecológico, eliminando el límite superior del 20 % del caudal medio anual y destacando su rol en el cumplimiento de las metas de SH establecidas en 1.1.
3.2 Modificar el Decreto 71 del MMA (2015) que define los criterios para el cálculo del caudal ecológico, adoptando una formulación que considere los niveles mínimos de resguardo ecosistémico (Figura 7.1) y la variación estacional natural de los cauces.
3.3 Integrar la asignación de derechos de aprovechamiento de aguas (DAA) de fuentes superficiales y subterráneas, de tal forma que el caudal total otorgado como DAA dentro de una cuenca no supere los usos compatibles con la SH definidos en la sección 1.2.
3.4 Definir el caudal de los DAA en función de la disponibilidad hídrica de la cuenca y no como un valor fijo. En paralelo, diseñar planes para que los usuarios de agua se adapten a caudales variables, considerando escenarios de cambio climático.
Para que las medidas 3.1 a 3.4 sean efectivas, se debe asegurar –a través de una modificación del título de dominio– que las modificaciones al Código de Aguas sean retroactivas con respecto a los DAA ya otorgados
3.5 Modificar los Artículos 314 y 315 del Código de Aguas, estableciendo que, antes de aplicar un decreto de escasez en forma sucesiva dentro de una misma unidad administrativa o cuenca, se realice una evaluación de la eficacia que ha tenido la aplicación del decreto en asegurar el consumo humano y de saneamiento, así como sus impactos en el nivel de estrés hídrico a escala de cuenca. Además, el acuerdo de redistribución exigido a las juntas de vigilancia debe considerar metas de SH y protección de los ecosistemas, eliminando la actual disposición que exime el resguardo de caudales ecológicos durante la vigencia del decreto.
Para que la medida 3.5 sea efectiva, se debe fortalecer la capacidad de fiscalización de la DGA de manera de asegurar que los planes de redistribución de usos exigidos a las juntas de vigilancia se cumplan.
Dirigido a:
- Ministerio de Obras Públicas (iniciativa legal)
- Ministerio del Medio Ambiente
- Congreso Nacional (moción parlamentaria)
- Código de Aguas (Decreto 71 que define el cálculo del caudal ecológico)
- Disposiciones de asignación de DAA. (artículos 314 y 315)
4
Modificaciones a la Ley de Servicios Sanitarios Rurales (SSR):
4.1 Incluir las características de los distintos modos de acceso al agua en la ley de SSR, de manera de generar apoyos y regulaciones específicas que garanticen el acceso justo a este recurso. En particular, se debe incluir a quienes gestionan su acceso al agua de manera individual, que corresponde al 56 % de la población rural que no cuenta con abastecimiento por empresas sanitarias.
Dirigido a:
- Ministerio de Obras Públicas/Dirección Nacional del Servicio Nacional de Obras Sanitarias (iniciativa legal)
- Congreso Nacional (moción parlamentaria
5
Gestión de Servicios Sanitarios Rurales (SSR):
5.1 Definir un indicador integrado de seguridad hídrica que sirva para evaluar de manera holística la efectividad de los SSR e informar mejoras.
5.2 Reconocer que el abastecimiento mediante camiones aljibes ha dejado de ser una solución de emergencia en ciertos territorios y que, por lo tanto se requiere avanzar en mecanismos de financiamiento permanentes y regulaciones específicas al creciente mercado del agua.
5.3 Considerar las realidades sociotécnicas, los saberes y capacidades locales dentro de las medidas de apoyo institucional establecidas para fortalecer a las organizaciones.
5.4 Incorporar el enfoque de adaptación-transformación en los procesos de gestión del agua rural de organizaciones comunitarias, con perspectiva en la cuenca.
Dirigido a:
- Ministerio de Obras Públicas/DGA
- Ministerio del Medio Ambiente
- Plan de Adaptación al Cambio Climático para los Recursos Hídricos
6
Recomendaciones transversales de gobernanza para la Seguridad Hídrica:
6.1 Fortalecer las alianzas y flujos de información entre los distintos Ministerios y servicios del Estado, y también las instituciones científicas, para contar con la mejor información disponible en términos de datos y tecnologías, y para promover el desarrollo estratégico de nuevas redes de monitoreo e información.
6.2 Desarrollar y disponibilizar plataformas integradas que fomenten el acceso y consulta de esta información por parte de los distintos actores de la cuenca, buscando tener la mayor resolución espacial y temporal posible, y un formato de visualización adecuado a distintos grupos de usuarios (tomadores de decisiones, técnicos, público general etc.)
6.3 Establecer una institucionalidad que asegure la implementación, actualización y seguimiento de los PERHC y que fomente la gestión integrada de las cuencas, la cual deberá ser diseñada considerando metas de SH acorde con las necesidades de cada territorio y en conjunto con las comunidades locales.
6.4 Promover la colaboración público-privada para fomentar la innovación territorial en servicio de la SH, aprovechando y eventualmente adaptando, instrumentos existentes de Corfo, INDAP, CNR y otros, asegurando una mejor alineación y coordinación entre estos instrumentos.
6.5 Promover instancias de capacitación, educación y sensibilización sobre la importancia de tener una gobernanza del agua integrada y resiliente al clima, y contar con los instrumentos, información y herramientas para ello.
Dirigido a:
- Ministerio de Obras Públicas/DGA
- Ministerio del Medio Ambiente
Glosario
Cambio climático: Cambio de clima atribuido directa o indirectamente a la actividad humana que altera la composición de la atmósfera mundial y que se suma a la variabilidad natural del clima observada durante períodos de tiempo comparables. (Ley 21.455)
Derecho de aprovechamiento de aguas (DAA): La ley lo define como un derecho real que recae sobre las aguas y consiste en el uso y goce temporal de ellas, de conformidad con las reglas, requisitos y limitaciones que el Código de Aguas prescribe. Tendrán un carácter temporal y serán otorgados a través de una concesión. Su duración será de 30 años, pero dependerá tanto de la disponibilidad de la fuente de abastecimiento como de la sustentabilidad del acuífero. Se prorrogará por el solo ministerio de la ley y sucesivamente, a menos que la Dirección General de Aguas (DGA) acredite, mediante una resolución fundada, el no uso efectivo del recurso o que existe una afectación a la sustentabilidad de la fuente que no ha podido ser superada.
Dominios de transformación: La transformación puede manifestarse en diferentes dominios, los que están interconectados y que no son mutuamente excluyentes (Aldunce et al., 2021):
- Dominio cognitivo: Se relaciona con cambios profundos en las creencias, normas, valores y comprensión de la sociedad. Estos cambios pueden influir en la percepción del mundo y en la concepción de progreso de las personas.
- Dominio estructural: Implica transformaciones significativas en las instituciones y procesos de gobernanza con el propósito de fomentar la sostenibilidad. Esto puede abarcar modificaciones sustanciales en políticas públicas y la implementación de nuevos mecanismos de retroalimentación.
- Dominio relacional: Cambios notorios en las relaciones entre diversos actores e instituciones. Esto puede manifestarse en la transición desde procesos de toma de decisiones aislados hacia enfoques integrados, colaboración entre actores diversos para fortalecer los vínculos entre la ciencia, la política pública y la práctica, así como en la emergencia de nuevas responsabilidades entre actores del ámbito público, privado y la sociedad civil.
- Dominio funcional: Implica cambios significativos en el comportamiento y la función de sistemas específicos. Un ejemplo sería la difusión de prácticas innovadoras de sostenibilidad o transformaciones tecnológicas que alteran la forma en que realizamos actividades de comunicación, producción y consumo.
Escasez hídrica: Corresponde a la situación en donde el agua disponible es menor que la demandada para usos sociales y ambientales, como el consumo humano y de animales, mantención de ecosistemas, agricultura, minería, industria y otros.
Evaporación potencial: Es la cantidad máxima de agua que puede evaporarse desde una superficie terrestre en condiciones climáticas específicas, sin limitaciones de humedad en el suelo u otros factores. Representa la pérdida potencial de agua debido a la evaporación y es un indicador importante para la evaluación de la disponibilidad de agua en una región y para la planificación de la gestión del agua.
Forzantes antrópicos del clima: Factores generados por las actividades humanas que impulsan al clima hacia un nuevo estado. Los forzantes antrópicos incluyen acciones como la quema de combustibles fósiles, la tala de bosques o la emisión de gases de efecto invernadero, como el dióxido de carbono, el metano y el óxido nitroso. Estos gases se liberan en la atmósfera debido a actividades industriales, agrícolas y de deforestación. A diferencia de los forzantes naturales, como la actividad volcánica o las variaciones en la energía solar recibida, los forzantes antrópicos constituyen la principal causa de cambio climático desde la revolución industrial y están alterando el clima de la Tierra a una velocidad sin precedentes.
Gases de efecto invernadero (GEI): Componentes gaseosos de la atmósfera, tanto naturales como antropogénicos, que absorben y emiten radiación en longitudes de onda específicas dentro del espectro de radiación terrestre (emitida por la superficie terrestre, la atmósfera misma y por las nubes). Esta propiedad provoca el efecto invernadero. El vapor de agua, el dióxido de carbono, el óxido nitroso, el metano y el ozono son los principales GEI en la atmósfera terrestre. Las emisiones y el aumento de GEI debido a actividades humanas representan el principal forzante antrópico de cambio climático. Además, existen GEI totalmente generados por la actividad humana en la atmósfera, como los halocarbonos y otras sustancias que contienen cloro y bromo, regulados en el Protocolo de Montreal (basado en IPCC, 2018).
Gobernanza climática de los elementos: Este enfoque integral de gestión tiene como objetivo abordar los desafíos del cambio climático considerando la interacción entre los diversos elementos de la naturaleza y su relación con el clima. Reconoce la importancia de adaptar la gobernanza a las particularidades de cada territorio y establece cuatro principios fundamentales como guía:
- Acción climática justa: Implica llevar a cabo acciones tanto incrementales como transformadoras para mitigar y adaptarse al cambio climático. Esto incluye avanzar hacia una distribución más equitativa de los costos y beneficios, proteger a los grupos más vulnerables y conservar los ecosistemas. También se centra en la protección de los intereses de las generaciones futuras mediante procesos de toma de decisiones inclusivos y solidarios.
- Enfoque anticipatorio: Este principio promueve la transición hacia un desarrollo neutro en carbono y resistente al clima, con horizontes temporales a corto, mediano y largo plazo. Se basa en una perspectiva preventiva y precautoria, actuando con prudencia incluso en situaciones de incertidumbre científica.
- Enfoque territorial y socioecosistémico: Impulsa medidas de mitigación, adaptación y capacitación que sean relevantes para cada territorio, considerando su contexto socioecológico único. Se enfatiza la coordinación entre diferentes escalas y sectores.
- Buena administración: Este principio aboga por una administración racional, objetiva, coordinada y efectiva. Prioriza estrategias demostrablemente eficaces y eficientes basadas en evidencia. Además, fomenta una participación amplia, oportuna y continua de la comunidad, pueblos originarios y otros actores interesados. La transparencia y la rendición de cuentas son elementos clave de este enfoque.
Indicador compuesto de seguridad hídrica: Indicador que integra información de procesos hidrosociales para identificar niveles de seguridad hídrica en la interfaz doméstica-comunitaria. Esta interfaz se define como el espacio de las relaciones sociales y técnicas que permiten el abastecimiento de agua desde una organización comunitaria encargada del servicio de distribución del agua hasta la conexión domiciliaria dentro de los hogares.
Megasequía: En el caso de Chile central, la megasequía corresponde a periodos prolongados de baja precipitación (sobre cinco años) y de gran extensión geográfica. La actual megasequía se inició el 2010 y se ha mantenido por más de una década (Garreaud et al., 2017).
Modelos climáticos globales: Representación numérica del sistema climático basada en las propiedades físicas, químicas y biológicas de sus componentes, en sus interacciones y en sus procesos de retroalimentación, y que recoge todas o algunas de sus propiedades conocidas. Los modelos climáticos se utilizan como herramienta de investigación para estudiar y simular el clima, y para fines operativos (basado en IPCC, 2018).
El Niño – Oscilación del Sur (ENOS): Se refiere a un fenómeno oceánico y atmosférico, caracterizado por un calentamiento del océano Pacífico tropical al este de la línea de cambio de fecha, y asociado con una fluctuación de un patrón de presión superficial de escala global llamado la Oscilación del Sur. Este fenómeno tiene una escala de tiempo de entre dos y siete años. Durante un evento cálido de ENOS (El Niño), los vientos alisios se debilitan, reduciendo la ascensión de aguas profundas y alterando las corrientes oceánicas de manera que las temperaturas de la superficie del mar se calientan, debilitando aún más los vientos alisios, con efectos climáticos en toda la región del Pacífico y en muchas otras partes del mundo, a través de teleconexiones globales. La fase fría de ENOS se denomina La Niña (basado en IPCC, 2018).
Nivel freático: Profundidad a la que se encuentra el agua subterránea en un acuífero. Corresponde al nivel alcanzado por el agua subterránea en pozos de observación
Organizaciones de usuarios de aguas (OUA): entidades privadas reguladas por el Código de Aguas que son responsables de la captación, conducción y distribución de las aguas a las que tienen derecho sus titulares. En los cauces naturales se organizan en Juntas de Vigilancia y en los cauces artificiales (canales, embalses) se organizan en Asociaciones de Canalistas o Comunidades de Aguas. No persiguen fines de lucro, obtienen personalidad jurídica por su registro ante la Dirección General de Aguas, y cumplen una función fundamental en la gestión del recurso hídrico.
Ozono estratosférico: Capa de ozono en la estratósfera terrestre que absorbe la mayor parte de la radiación ultravioleta del sol, desempeñando un papel crucial en la protección de la vida en la Tierra.
Pozos de observación: Perforaciones o excavaciones subterráneas diseñadas para monitorear el nivel freático del agua subterránea, la calidad del agua y otros parámetros relacionados. Los pozos de observación son herramientas importantes en la gestión de recursos hídricos, ya que proporcionan datos clave para comprender la dinámica de los acuíferos y tomar decisiones informadas sobre su uso y conservación.
Principio precautorio: Cuando haya peligro de daño grave o irreversible, la falta de certeza científica absoluta no deberá utilizarse como razón para postergar la adopción de medidas eficaces en función de los costos para impedir la degradación del medioambiente (Declaración de Río 92).
Seguridad alimentaria: Cuando todas las personas tienen, en todo momento, acceso físico, social y económico a alimentos suficientes, inocuos y nutritivos que satisfacen sus necesidades energéticas diarias y preferencias alimentarias para llevar una vida activa y sana.
Sistemas sociotécnicos: Es un concepto compuesto que permite reconocer la inseparabilidad de los componentes sociales y técnicos en el funcionamiento de ciertos sistemas. En el contexto del abastecimiento de agua, se refiere a sistemas que no solo se centran en la infraestructura y la tecnología para suministrar agua, sino que también consideran de manera integrada aspectos sociales, culturales, económicos, legales y de participación comunitaria. Estos sistemas reconocen la importancia de la colaboración entre las comunidades y las autoridades para garantizar un acceso sostenible y equitativo al agua potable.
Transformación: Cambio en los atributos fundamentales de los sistemas naturales y humanos que implican una profunda, y muchas veces irreversible, innovación en distintos ámbitos, como, por ejemplo, el económico, el tecnológico o el social.
Notas metodológicas
Capítulo 1
1.1 Estimación de la disponibilidad hídrica histórica: La precipitación total se obtiene del producto CR2MET, disponible en https://doi.org/10.5281/zenodo.7529682 (Boisier, 2023). La evapotranspiración natural se estima mediante un modelo de evapotranspiración simplificado ( ver nota metodológica 2.1), forzado con datos de precipitación y evaporación potencial CR2MET, con riego desactivado y datos de cobertura terrestre CR2LUC del año 1950.
1.2 Simulaciones climáticas globales regionalizadas: Datos de precipitación y temperatura simulados con modelos climáticos globales fueron corregidos para representar correctamente el clima de Chile mediante un método revisado de mapeo de cuantiles (Cannon et al., 2015). La corrección se hizo en base al producto CR2MET, con una modificación del método que previene inconsistencias entre precipitación y temperatura en condiciones de nieve (Boisier et al., 2022). Para el presente informe se evaluaron 16 modelos climáticos y dos escenarios socioeconómicos futuros incluidos en la sexta fase del Proyecto de Intercomparación de Modelos de Clima Acoplados (CMIP6, Eyring et al., 2016). Los escenarios considerados incluyen uno de alta y otro de baja mitigación de emisiones de GEI (SSP1-RCP2.6 y SSP3-RCP7.0, ver O’Neill et al., 2016). Los modelos incluidos son: ACCESS-CM2, ACCESS-ESM1-5, BCC-CSM2-MR, CanESM5, CMCC-ESM2, CNRM-CM6-1, CNRM-ESM2-1, EC-Earth3, FGOALS-g3, GFDL-ESM4, IPSL-CM6A-LR, MIROC6, MPI-ESM1-2-HR, MRI-ESM2-0, NorESM2-MM y UKESM1-0-LL.
1.3 Simulaciones hidrológicas: Las simulaciones hidrológicas se obtienen a partir del Mesoscale Hydrological Model (mHM; Samaniego et al., 2010) con una resolución temporal diaria y espacial de 3 km. El modelo fue calibrado para el período 1980-2019 en 90 cuencas con un bajo nivel de intervención seleccionadas de la base de datos CAMELS-CL (Alvarez-Garreton et al., 2018), utilizando variables atmosféricas del producto CR2MET (Boisier, 2023) y propiedades de suelo del producto CLSoilMaps (Dinamarca et al., 2023; Galleguillos et al., 2022). Los parámetros calibrados fueron transferidos a 20 cuencas BNA con niveles variados de intervención antrópica, de manera de obtener simulaciones de disponibilidad natural. Las proyecciones futuras de mHM utilizan la precipitación y temperatura de los modelos climáticos globales regionalizados descritos en la nota metodológica 1.2.
Capítulo 2
2.1 Estimación de usos de agua del sector UTCUTS: La estimación del consumo de agua en agricultura y otros sectores UTCUTS utiliza un modelo simplificado de evapotranspiración (ET) y diferentes escenarios históricos de uso y cobertura del suelo, basados en el producto CR2LUC. Este producto proporciona una reconstrucción anual (1950-2020) de cobertura de suelo para Chile continental, con una resolución de 1 km. Esta reconstrucción incluye presencia relativa de distintas clases, que representan tipos agrícolas, áreas naturales, plantaciones forestales, zonas urbanizadas, cuerpos de agua y embalses. La metodología empleada se basa en fuentes que incluyen indicadores satelitales y estadísticas nacionales, destacando la contribución valiosa de los censos agropecuarios que abarcan casi un siglo de información. Por su parte, el modelo de ET se apoya en un esquema de balance hídrico, considerando variables atmosféricas (precipitación y evaporación potencial de CR2MET), propiedades del suelo, profundidad de las raíces, coeficientes de cultivo y la presencia de riego, entre otros factores, con parámetros específicos para cada tipo de cobertura. De esta manera, se estima el uso de agua en el sector UTCUTS como la diferencia en la ET bajo las mismas condiciones climáticas, pero diferentes coberturas terrestres. Para ello, se tomó como referencia una cobertura fija correspondiente al año 1950. La componente de uso de agua en ausencia de riego (agricultura de secano y sector forestal, principalmente) se calculó de manera similar, manteniendo desactivada la opción de riego en todos los escenarios.
2.2 Estimación de usos de agua de otros sectores: Se generaron estimaciones históricas del uso del agua en sectores productivos, incluyendo minería, energía, ganadería e industrias manufactureras, así como los requerimientos de agua potable para la población. La reconstrucción abarca todas las comunas de Chile continental, con valores anuales desde 1950 hasta 2020. La metodología utilizada se basa principalmente en la definición, análisis de documentos y homogeneización de los indicadores espacio-temporales asociados con cada sector. De forma similar a DGA (2017), al combinar estos factores con tasas de consumo de agua específicas, se estimaron los flujos volumétricos de agua para cada caso. El conjunto de datos incluye la contribución de usos consuntivos y no consuntivos.
Capítulo 3
3.1 Atribución de cambios en el estrés hídrico: El indicador de estrés hídrico (IEH) se define como U/D, con U y D los usos consuntivos de agua sobre una unidad territorial y la disponibilidad hídrica natural, respectivamente. Los componentes de cambio de IEH asociados a modificaciones en los usos y en la disponibilidad se estiman, respectivamente, como IEHM ΔU/UM y –IEHM ΔD/DM (descomposición en derivadas parciales). Los términos con Δ indican la diferencia entre dos períodos de interés, mientras que los términos con subíndice M indican la media de los mismos periodos. Luego, un ajuste proporcional a ambos términos se realiza para que la suma de los componentes iguale el cambio absoluto del indicador IEH entre los periodos evaluados.
Capítulo 4
4.1 Procesamiento y análisis de nivel de pozos: Los datos de observación de aguas subterráneas se obtuvieron del sitio web de la Dirección de Aguas (https://snia.mop.gob.cl/BNAConsultas/reportes). Para cada pozo de observación se estimaron series mensuales de niveles freáticos como el promedio de las lecturas de un mismo mes. Luego, se eliminaron los valores atípicos y se generó una climatología basada en el período 1980-2010. A continuación, se calcularon anomalías mensuales en base a esta climatología y se rellenaron datos faltantes. Posteriormente, se reconstruyeron las series temporales de valores absolutos a partir de las anomalías mensuales rellenadas. Los niveles medios anuales de niveles freáticos se calcularon a partir de las series mensuales con años completos. Se realizó una segunda verificación de calidad para eliminar los valores atípicos en los promedios anuales. Además, se filtraron las series anuales con menos de 10 años de datos en el período de 1980 a 2010. Por último, se calcularon las anomalías anuales en comparación con el período base de 1980 a 2010. Este proceso permitió obtener datos más fiables y coherentes para el análisis de niveles de agua subterránea. Los pozos de observación se clasificaron como pozos someros y pozos profundos si sus niveles freáticos medios anuales eran mayores o menores a 15 metros, respectivamente.
Capítulo 5
5.1 Casos de estudio con diferentes modos de acceso al agua: La elaboración de una muestra representativa supuso describir y cuantificar la heterogeneidad de los modos de acceso del agua potable en áreas rurales. Para la descripción se procedió a una revisión sistemática de la literatura en cuatro bases de datos de publicaciones indexadas. Para la cuantificación se construyó una base de datos consolidada que permitió identificar las organizaciones comunitarias a nivel nacional. El resultado arrojó información sobre 2.802 organizaciones. También se aplicó un análisis de clúster entre las organizaciones del Programa de APR. Sobre este doble análisis descriptivo y cuantitativo se seleccionó un muestra compuesta por diez organizaciones situadas entre las regiones de Coquimbo y de Los Lagos: ocho que son parte del Programa APR, una con financiamiento regional y otra sin financiamiento. Para aquellas del Programa APR, se consideró un perfil en función del análisis por clúster. De esta manera, los casos seleccionados cumplen con alguna combinación de los siguientes criterios: (1) modalidad de organización (comité, cooperativa, organización informal), (2) fuentes de agua (subterránea, superficial, camión aljibe, varias al mismo tiempo), (3) tipo de financiamiento (MOP, SUBDERE, municipalidad, ninguno, otros), (4) número de conexiones domiciliarias, (5) localización geográfica (rural, urbana, periurbana – concentrada, dispersa, semidispersa – latitud, longitud), (8) nivel de precipitaciones anuales, (9) temperatura. Los casos seleccionados fueron visitados en terreno y se utilizaron técnicas etnográficas, además de una una entrevista estructurada aplicada a través de una pauta con variables de procesos hidrosociales para construir el ICSH (Nicolás-Artero et al., 2022).
Capítulo 10
10.1 Las acciones de transformación se levantaron a través de una entrevista de profundización complementaria a las entrevistas aplicadas a los diez casos de estudios de organizaciones APR (cap. 5 y nota metodológica 5.1). La entrevista de profundización fue semiestructurada con preguntas abiertas y cerradas. Se llevaron a cabo doce entrevistas entre 2021 y 2022, y los datos recopilados fueron sometidos a un proceso de análisis temático y, posteriormente, incluidos en una base de datos que caracteriza, a través de distintas variables, todas las acciones identificadas junto con los resultados obtenidos en el análisis.
Referencias
Aceituno, P., Boisier, J. P., Garreaud, R., Rondanelli, R., & Rutllant, J. (2021). Climate and Weather in Chile (pp. 7–29). https://doi.org/10.1007/978-3-030-56901-3_2
Aldunce, P., Guevara, G., & Muñoz, F. (2022). Base de datos acciones de transformación. https://doi.org/10.17605/OSF.IO/RC94T
Aldunce, P. (2019). Nota conceptual Transformación: grandes desafíos-cambios profundos. Santiago, Chile. 12p.
Aldunce, P., Rojas, M., Guevara, G., Álvarez, C., Billi, M., Ibarra, C., & Sapiains, R. (2021). Enfoque Transformación: Adaptación. Centro de Ciencia del Clima y la Resiliencia, CR2. Santiago, Chile. 10 p.
Alvarez-Garreton, C., Mendoza, P. A., Boisier, J. P., Addor, N., Galleguillos, M., Zambrano-Bigiarini, M., Lara, A., Puelma, C., Cortes, G., Garreaud, R., McPhee, J., & Ayala, A. (2018). The CAMELS-CL dataset: catchment attributes and meteorology for large sample studies – Chile dataset. Hydrol. Earth Syst. Sci., 22, 5817–5846, https://doi.org/10.5194/hess-22-5817-2018, 2018.
Alvarez-Garreton, C., Lara, A., Boisier, J. P., & Galleguillos, M. (2019). The impacts of native forests and forest plantations on water supply in Chile. Forests, 10(6), 473.
Alvarez-Garreton, C., Boisier, J. P., Billi, M., Lefort, I., Marinao, R., & Barria, P. (2023). Protecting environmental flows to achieve long-term water security. Journal of Environmental Management, 328, 116914.
Alvarez-Garreton, C., Boisier, J. P., Garreaud, R., González, J., Rondanelli, R., Gayó, E., & Zambrano-Bigiarini, M. (2023). HESS Opinions: The unsustainable use of groundwater conceals a “Day Zero”. Hydrol. Earth Syst. Sci. Discuss. [preprint], https://doi.org/10.5194/hess-2023-245, in review.
Araneda C., M., Avendaño R., M. S., & Díaz Del Río, G. (2019). Modelo estructural de la cuenca de Santiago, Chile y su relación con la hidrogeología. Revista Geofísica, (62), 29–48. Recuperado a partir de https://revistasipgh.org/index.php/regeofi/article/view/541
Billi, M., Moraga, P., Aliste, E., Maillet, A., O’Ryan, R., Sapiains, R., Bórquez, R. et al. (2021). Gobernanza Climática de los Elementos. Hacia una gobernanza climática del agua, el aire, el fuego y la tierra en Chile, integrada, anticipatoria, socio-ecosistémica y fundada en evidencia. Centro de Ciencia del Clima y la Resiliencia, CR2, (ANID/FONDAP/15110009), 69 pp. Disponible en www.cr2.cl/gobernanza-elementos/
Boisier, J. P., Alvarez-Garreton, C., Cordero, R. R., Damiani, A., Gallardo, L., Garreaud, R. D., Lambert, F., Ramallo, C., Rojas, M., & Rondanelli, R. (2018). Anthropogenic drying in central-southern Chile evidenced by long-term observations and climate model simulations. Elementa: Science of the Anthropocene, 6, 74. https://doi.org/10.1525/elementa.328
Boisier, J. P., Rondanelli, R., Garreaud, R. D., & Muñoz, F. (2016). Anthropogenic and natural contributions to the Southeast Pacific precipitation decline and recent megadrought in central Chile. Geophysical Research Letters, 43(1), 413–421. https://doi.org/10.1002/2015GL067265
Boisier, J. P., Alvarez-Garreton, C. D., & Gonzalez, S. (2022). Regional Climate Variability and Change along the Highly Complex Landscape of Chile. AGU Fall Meeting Abstracts, A35P-1674.
Boisier, J. P. (2023). CR2MET: A high-resolution precipitation and temperature dataset for the period 1960-2021 in continental Chile. (v2.5) [Data set]. Zenodo. https://doi.org/10.5281/zenodo.7529682
Cannon A. J., Sobie S. R., & Murdock T. Q. (2015) Bias correction of simulated precipitation by quantile mapping: how well do methods preserve relative changes in quantiles and extremes? J Clim 28(17):6938–6959. doi:10.1175/JCLI-D-14-00754.1
Dinamarca, D. I., Galleguillos, M., Seguel, O., & Faúndez Urbina, C. (2023). CLSoilMaps: A national soil gridded database of physical and hydraulic soil properties for Chile. Scientific Data, 10(1), 630.
Dirección General de Aguas (DGA). (2017). Estimación de la demanda actual, proyecciones futuras y caracterización de la calidad de los recursos hídricos en Chile. SIT 419. Realizado por: Unión temporal de proveedores Hídrica Consultores SPA y Aquaterra ingenieros LTDA.
Dirección General de Aguas (DGA). (2017). Reporte de la red de control de lagos de la dirección general de aguas año 2017. SDT N° 408. Realizado por: Departamento de Conservación y Protección de Recursos Hídricos (DCPRH) .
Dirección General de Aguas (DGA). (2022). Metodología del inventario público de glaciares, SDT N°447. Ministerio de Obras Públicas, Dirección General de Aguas Unidad de Glaciología y Nieves. Realizado por: Casassa, G., Espinoza, A., Segovia, A., Huenante, J.
Döll, P., & Fiedler, K. (2008). Global-scale modeling of groundwater recharge. Hydrol. Earth Syst. Sci., 12, 863–885, https://doi.org/10.5194/hess-12-863-2008.
Duran-Llacer, I., Munizaga, J., Arumí, J., Ruybal, C., Aguayo, M., Sáez-Carrillo, K., Arriagada, L., et al. (2020). Lessons to Be Learned: Groundwater Depletion in Chile’s Ligua and Petorca Watersheds through an Interdisciplinary Approach. Water, 12(9), 2446. MDPI AG. http://dx.doi.org/10.3390/w12092446
Eyring, V., Bony, S., Meehl, G. A., Senior, C. A., Stevens, B., Stouff er, R. J., & Taylor, K. E. (2016). Overview of the Coupled Model Intercomparison Project Phase 6 (CMIP6) experimental design and organization. Geosci. Model Dev., 9, 1937–1958, https://doi.org/10.5194/gmd-9-1937-2016
Fazey, I., Schäpke, N., Caniglia, G., Patterson, J., Hultman, J., Van Mierlo, B., Säwe, F., Wiek, A., Wittmayer, J., Aldunce, P., Al Waer, H., Battacharya, N., Bradbury, H., Carmen, E., Colvin, J., Cvitanovic, C., D’Souza, M., Gopel, M., Goldstein, B. &Wyborn, C. (2018). Ten essentials for action-oriented and second order energy transitions, transformations and climate change research. Energy Research & Social Science, 40, 54-70. https://doi.org/10.1016/j.erss.2017.11.026
FAO. (2021). El estado de los recursos de tierras y aguas del mundo para la alimentación y la agricultura – Sistemas al límite. Informe de síntesis 2021. Roma. https://doi.org/10.4060/cb7654es
Few, R., Morchain, D., Spear, D., Mensah, A., & Bendapudi, R. (2017). Transformation, adaptation and development: relating concepts to practice. Palgrave Communications, 3, 17092. Doi: https://doi.org/10.1057/palcomms.2017.92
Fragkou, M., Monsalve-Tapia, T., Pereira-Roa, V., & Bolados-Arratia, M. (2022). Abastecimiento de agua potable por camiones aljibe durante la megasequía. Un análisis hidrosocial de la provincia de Petorca, Chile. Revista de Estudios Urbano Regionales, 48(145). doi:https://doi.org/10.7764/EURE.48.145.04
Fundación Amulén (2019). Pobres de agua. Radiografía del agua rural de Chile: Visualización de un problema oculto. Santiago, Chile. https://www.fundacionamulen.cl/wp-content/uploads/2020/07/Informe_Amulen.pdf
Fundación Chile. (2018). Radiografía del Agua: Brecha y Riesgo Hídrico en Chile. https://escenarioshidricos.cl/publicacion/radiografia-del-agua-brecha-y-riesgo-hidrico-en-chile
Galleguillos, M., Gimeno, F., Puelma, C., Zambrano-Bigiarini, M., Lara, A., & Rojas, M. (2021). Disentangling the effect of future land use strategies and climate change on streamflow in a Mediterranean catchment dominated by tree plantations. Journal of Hydrology, 595, 126047.
Galleguillos, M., Dinamarca, D., Seguel, O., & Faundez, C. (2022). CLSoilMaps: A national soil gridded product for Chile [Data set]. In Earth Science System Data (Version V1). Zenodo. https://doi.org/10.5281/zenodo.7464210
Garreaud, R. D., Alvarez-Garreton, C., Barichivich, J., Boisier, J. P., Christie, D., Galleguillos, M., LeQuesne, C., McPhee, J., & Zambrano-Bigiarini, M. (2017). The 2010–2015 megadrought in central Chile: Impacts on regional hydroclimate and vegetation. Hydrology and Earth System Sciences, 21(12), 6307–6327. https://doi.org/10.5194/hess-21-6307-2017
Garreaud, R. D., Boisier, J. P., Rondanelli, R., Montecinos, A., Sepúlveda, H. H., & Veloso-Aguila, D. (2020). The central Chile mega drought (2010–2018): a climate dynamics perspective. International Journal of Climatology, 40(1), 421-439.
Gleeson, T., Befus, K.M., Jasechko, S., Luijendijk, E.,
and Cardenas, M.B. (2016). The global volume and
distribution of modern groundwater. Nature
Geoscience, 9, 161–167.
Grafton, R. Q., Williams, J., Perry, C. J., Molle, F., Ringler,
C., Steduto, P., Udall, B. Wheeler, S. A., Wang, Y., Garric, D. & Allen, R. G. (2018). The paradox of irrigation efficiency. Science, 361(6404), 748-750.
IPCC (2018). Anexo I: Glosario [Matthews J.B.R. (ed.)]. En: Calentamiento global de 1,5 °C, Informe especial del IPCC sobre los impactos del calentamiento global de 1,5 oC con respecto a los niveles preindustriales y las trayectorias correspondientes que deberían seguir las emisiones mundiales de gases de efecto invernadero, en el contexto del reforzamiento de la respuesta mundial a la amenaza del cambio climático, el desarrollo sostenible y los esfuerzos por erradicar la pobreza [Masson-Delmotte V., P. Zhai, H.-O. Pörtner, D. Roberts, J. Skea, P.R. Shukla, A. Pirani, W. Moufouma-Okia, C. Péan, R. Pidcock, S. Connors, J.B.R. Matthews, Y. Chen, X. Zhou, M.I. Gomis, E. Lonnoy, T. Maycock, M. Tignor y T. Waterfield (eds.)].
IPCC (2021). Summary for Policymakers. In: Climate Change 2021: The Physical Science Basis. Contribution of Working Group I to the Sixth Assessment Report of the Intergovernmental Panel on Climate Change [Masson-Delmotte, V., P. Zhai, A. Pirani, S.L. Connors, C. Péan, S. Berger, N. Caud, Y. Chen, L. Goldfarb, M.I. Gomis, M. Huang, K. Leitzell, E. Lonnoy, J.B.R. Matthews, T.K. Maycock, T. Waterfield, O. Yelekçi, R. Yu, and B. Zhou (eds.)]. Cambridge University Press, Cambridge, United Kingdom and New York, NY, USA, pp. 3−32, doi:10.1017/9781009157896.001.
Ley N° 18.450, Aprueba normas para el fomento de la inversión privada en obras de riego y drenaje, Chile. Diario Oficial de la República de Chile, 30 de octubre de 1985. www.leychile.cl/Navegar?idNorma=29855
Ley N° 20.998, Regula los servicios sanitarios rurales. Diario Oficial de la República de Chile, 14 de febrero de 2017. www.leychile.cl/Navegar?idNorma=1100197
Ley N° 21.364, Establece el sistema nacional de prevención y respuesta ante desastres, sustituye la oficina nacional de emergencia por el servicio nacional de prevención y respuesta ante desastres, y adecúa normas que indica. Diario Oficial de la República de Chile, 7 de agosto de 2021. www.leychile.cl/Navegar?idNorma=1163423
Ley n.º 21435 (2022, 6 de abril) – REFORMA EL CÓDIGO DE AGUAS, Chile.
https://www.leychile.cl/Navegar?idNorma=1174443
Ley N° 21.455, Ley marco de cambio climático. Diario Oficial de la República de Chile, 13 de junio de 2022. www.bcn.cl/leychile/navegar?idNorma=1177286
Masotti, I., Aparicio-Rizzo, P., Yevenes, M. A., Garreaud, R., Belmar, L., & Farías, L. (2018). The Influence of River Discharge on Nutrient Export and Phytoplankton Biomass Off the Central Chile Coast (33°–37°S): Seasonal Cycle and Interannual Variability. Frontiers in Marine Science, 5, 423. https://doi.org/10.3389/fmars.2018.00423
Millan, R., Rignot, E., Rivera, A., Martineau, V., Mouginot, J., Zamora, R., et al. (2019). Ice thickness and
bed elevation of the Northern and Southern Patagonian Icefields. Geophysical Research Letters, 46. https://doi.org/10.1029/2019GL082485
Moser, S., Aldunce, P., Rudnick, A., & Muñoz, L. (2019).
Policy brief: Transformación desde la ciencia a la toma de decisiones. 3p. https://www.cr2.cl/wp-content/uploads/2019/12/Moser-et-al-2019-Resumen-política-Transformación.pdf
Muñoz, A. A., Klock-Barría, K., Alvarez-Garreton, C., Aguilera-Betti, I., González-Reyes, Á., Lastra, J. A., Chávez, R. O., et al. (2020). Water Crisis in Petorca Basin, Chile: The Combined Effects of a Mega-Drought and Water Management. Water, 12 (3), 648. http://dx.doi.org/10.3390/w12030648
Muñoz-Sabater, J., Dutra, E., Agustí-Panareda, A., Albergel, C., Arduini, G., Balsamo, G., Boussetta,
S., Choulga, M., Harrigan, S., Hersbach, H., Martens,
B., Miralles, D. G., Piles, M., Rodríguez-Fernández,
N. J., Zsoter, E., Buontempo, C., and Thépaut, J.-N.
(2021). ERA5-Land: a state-of-the-art global
reanalysis dataset for land applications. Earth Syst.
Sci. Data, 13, 4349–4383,
https://doi.org/10.5194/essd-13-4349-2021
Nicolas-Artero, C., Blanco, G., Bopp, C., & Carrasco, N. (2022). Modes of access to water for domestic use in rural Chile: a typological proposal. Water Policy, 24(7): 1179–1194 doi: 10.2166/wp.2022.026
Nicolas-Artero C., & Blanco, G. (2024 – en prensa). Propuesta de un indicador para estudiar la seguridad
hídrica en la interfaz doméstica – comunitaria de
áreas rurales chilenas. EURE
Oki, T., & Kanae, S. (2006). Global Hydrological Cycles and World Water Resources. Science, 313 (5790), 1068–1072. https://doi.org/10.1126/science.1128845
O’Neill, B. C., Tebaldi, C., Van Vuuren, D. P., Eyring, V., Friedlingstein, P., Hurtt, G., Knutti, R., Kriegler, E., Lamarque, J.-F., Lowe, J., Meehl, G. A., Moss, R., Riahi, K., & Sanderson, B. M. (2016). The Scenario Model Intercomparison Project (ScenarioMIP) for CMIP6. Geoscientific Model Development, 9 (9), 3461–3482. https://doi.org/10.5194/gmd-9-3461-2016
Organización de las Naciones Unidas (ONU). (1997).
Comprehensive Assessment of the Freshwater
Resources of the World.
R-Acciona – País Circular,
Salinas, M., & Becker, I. (2022). Guardianas del agua: (in)seguridad hídrica en la vida cotidiana de las
mujeres. Fundación Heinrich Böll. 194 pp.
Samaniego L., Kumar, R., & Attinger, S. (2010). Multiscale
parameter regionalization of a grid-based hydrologic
model at the mesoscale. Water Resour. Res., 46,W05523, doi:10.1029/2008WR007327.
Subsecretaría del Interior, Gobierno de Chile. (2016). Oficio 18.807, 18 de agosto de 2016
Taucare, M., Viguier, B., Figueroa, R., & Daniele, L. (2023). The alarming state of Central Chile’s groundwater resources: A paradigmatic case of a lasting overexploitation. Science of The Total Environment, 167723.
Vörösmarty, C. J., Fekete, B. M., Meybeck, M., & Lammers, R. B. (2000). Global system of rivers: Its role in
organizing continental land mass and defining
land to ocean linkages. Global Biogeochemical
Cycles, 14 (2), 599-621.
World Health Organization (WHO). (2022). Guidelines for drinking-water quality: fourth edition incorporating the first and second addenda. Geneva, Switzerland.
Anexos
Por Chloé Nicolas-Artero, Gustavo Blanco, Paulina Aldunce y Gabriela Guevara
Introducción
En el marco del Informe CR2 Seguridad hídrica en Chile: Caracterización y perspectivas de futuro se desarrolló un análisis acerca de la seguridad hídrica en la interfaz doméstico-comunitaria, entendiendo esta como la capacidad de una organización comunitaria para otorgar agua en cantidad y calidad suficiente a los hogares de sus socios, manteniendo los principios de gestión democrática y pudiendo proyectarse en el futuro si aumenta la cantidad de habitantes. Para ello, se diseñó el Indicador Compuesto de Seguridad Hídrica (ICSH), el cual se aplicó a diez organizaciones.
La singularidad de este indicador radica en dos aspectos principales. En primer lugar, se construye a partir de fuentes primarias, utilizando datos cualitativos recopilados a través de entrevistas semiestructuradas realizadas a líderes locales, complementadas con entrevistas a residentes y observaciones en terreno. En segundo lugar, nuestro objetivo no se limita solo a cuantificar la seguridad hídrica, sino que se enfoca en comprender la influencia relativa de diversos procesos hidrosociales, además de proporcionar una explicación de su complejidad.
Sobre los casos de estudio
Los diez casos seleccionados corresponden a una muestra representativa de la heterogeneidad de las organizaciones comunitarias existentes en el país, y nos permiten analizar tanto aquellas asociadas al Programa de Agua Potable Rural como a las que no lo están (cooperativas financiadas a nivel regional, y organizaciones comunitarias con o sin personalidad jurídica). Esto nos distingue de los enfoques cuantitativos que, a menudo, se centran en las organizaciones vinculadas al Programa de APR debido a la disponibilidad de datos, lo que resulta en una visión limitada de los procesos socioambientales que afectan el suministro de agua potable en las zonas rurales.
La elaboración de esta muestra supuso describir y cuantificar la heterogeneidad de los modos de acceso del agua potable en áreas rurales. Para la descripción se procedió a una revisión sistemática de la literatura en cuatro bases de datos, y para su cuantificación se combinaron dos métodos: 1. Construcción de una base de datos consolidada que permitió identificar 2.802 organizaciones comunitarias a nivel nacional y 2. La aplicación de un análisis de clúster entre las organizaciones del Programa de APR.
Las diez organizaciones de la muestra están conformadas por: ocho pertenecientes al Programa, una con financiamiento regional y otra sin financiamiento. Además, los casos seleccionados varían en los criterios enumerados a continuación: 1. modalidad de organización (comité, cooperativa, organización informal), 2. fuentes de agua (subterránea, superficial, camión aljibe, varias al mismo tiempo), 3. tipo de financiamiento (MOP, Subdere, municipalidad, ninguno, otros), 4. número de conexiones domiciliarias, 5. localización geográfica (rural, urbano, periurbano – concentrado, disperso, semidisperso – latitud, longitud), 8. nivel de precipitaciones anuales, y 9. temperatura. En la Figura 1 se presentan los diez casos seleccionados situados entre las regiones de Coquimbo y de Los Lagos.
Figura 1: Ubicación de casos de estudio. Cada círculo identifica la localización de las organizaciones comunitarias y el tamaño de estos es proporcional a la cantidad de conexiones domiciliarias (número anotado al costado). Elaboración: Chloé Nicolas-Artero, 2023.
Elaboración del índice
En las diez organizaciones comunitarias identificamos ocho procesos hidrosociales. Estos procesos definen los modos sociotécnicos de distribución del agua, desde el punto de captación hasta la conexión domiciliaria, los cuales permiten que la población rural obtenga agua en cantidad y calidad suficiente para su consumo. Estos ocho procesos son: 1. Posibilidad de que una organización acceda al recurso, ya sea superficial o subterráneo en cantidad adecuada; 2. posibilidad de que una organización acceda al recurso, ya sea superficial o subterráneo en calidad adecuada; 3. factores que permiten que la gestión sociotécnica asegure la cantidad de agua; 4. factores que permiten que la gestión sociotécnica asegure la calidad de agua; 5. solidez económica de la gestión comunitaria; 6. apoyo y conocimientos para la mantención del servicio; 7. robustez jurídica e institucional de la organización comunitaria y su capacidad de proyectarse a futuro en el marco de la aplicación de la Ley sobre Servicios Sanitarios Rurales, obteniendo una licencia para seguir operando; y 8. presencia de transformación, que refiere a los cambios profundos en las acciones llevadas a cabo por las asociaciones como respuesta a la escasez hídrica.
Para comprender el funcionamiento de estos procesos hidrosociales y su incidencia en la seguridad hídrica de las diez organizaciones, se elaboró una pauta de entrevista. Las respuestas dadas por los integrantes de las organizaciones se codificaron y se les asignó un valor de 0 a 10 (donde 0 representa baja seguridad hídrica y 10 es alta seguridad hídrica), según cada proceso, conformando así el Indicador Compuesto de Seguridad Hídrica (Figura 2). En el caso particular de las acciones de transformación, se realizaron nuevas entrevistas para poder caracterizar dichas acciones (Figura 3) y se plasmaron en una base de datos disponible en la web del Centro de Ciencia del Clima y la Resiliencia CR2.
Figura 2: Nivel de seguridad hídrica de los casos de estudio según cada proceso hidrosocial. Cada color representa una organización y el valor alcanzado en cada proceso (de 0 a 10). Elaboración: Chloé Nicolas-Artero, 2023.
Figura 3: Nivel de seguridad hídrica por caso de estudio con énfasis en la transformación. En celeste se representa la suma de los primeros siete procesos hidrosociales y en amarillo el octavo proceso correspondiente al componente de transformación (cada proceso es de 0 a 10, por lo que el valor total es 80). Considerando que 80 es seguridad hídrica alta, se aprecia que la mayoría de las organizaciones tienen una seguridad hídrica media. Elaboración: Chloé Nicolas-Artero, 2023.
Puede descargar el Anexo en PDF AQUÍ











